Площадь поверхности цилиндра
Список вопросов теста
Вопрос 1
Укажите формулу для вычисления площади боковой поверхности цилиндра.
Варианты ответов
Вопрос 2
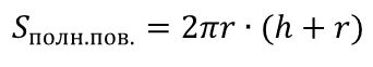
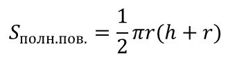
Укажите формулу для вычисления площади полной поверхности цилиндра.
Варианты ответов
Вопрос 3
Цилиндр получен в результате вращения прямоугольника ABCD около прямой AD. Вычислите площадь боковой поверхности цилиндра, если длины сторон AD и AB прямоугольника равны соответственно 4 см и 2 см. В ответе укажите только число, считая π=3.
Вопрос 4
Осевое сечение цилиндра - квадрат, длина диагонали которого равна 10 см. Вычислите площадь боковой поверхности цилиндра. Число p принимать примерно равным 3. В ответе укажите только число без единицы измерения. Например, 200.
Вопрос 5
Какая геометрическая фигура является разверткой боковой поверхности цилиндра?
Вопрос 6
Высота цилиндра равна 10 см. Площадь сечения цилиндра плоскостью, параллельной оси цилиндра и находящейся на расстоянии 6 см от нее, равна 160 см2. Вычислите площадь полной поверхности цилиндра.
Варианты ответов
Вопрос 7
Высота и диаметр основания цилиндра равны 10. Площадь боковой поверхности цилиндра равна:
Варианты ответов
Вопрос 8
Радиус основания цилиндра равен 4, площадь его боковой поверхности - 80π. Найдите высоту цилиндра. В ответе укажите только число без единицы измерения. Например, 100.
Вопрос 9
Длина окружности основания цилиндра равна 8π, диагональ осевого сечения - 10. Найдите площадь его полной поверхности. В ответе укажите только число, считая π=3.
Вопрос 10
Площадь боковой поверхности цилиндра равна 16p. Найдите площадь полной поверхности цилиндра, если его осевым сечением является квадрат.




















