Определенный интеграл
Иванова Татьяна Евгеньевна
02.04.2017.
Тест. Математика, Прочее
Вычислить определенный интеграл от функции
Система оценки:
5 балльная
Список вопросов теста
Вопрос 1
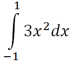
Вычислить определенный интеграл:

Получите комплекты видеоуроков + онлайн версии
Пройти тест
Сохранить у себя:
Тесты по математике Прочее
0
511
Нравится
0


