Моделирование и формализация
Список вопросов теста
Вопрос 1
Между населёнными пунктами A, B, C, D, E, F построены дороги, протяжённость которых приведена в таблице. Отсутствие числа в таблице означает, что прямой дороги между пунктами нет. Определите длину кратчайшего пути между пунктами B и C, проходящего через пункт F. Передвигаться можно только по указанным дорогам. В ответе запишите число.

Вопрос 2
Между населёнными пунктами A, B, C, D, E, F построены дороги, протяжённость которых приведена в таблице. Отсутствие числа в таблице означает, что прямой дороги между пунктами нет. Определите длину кратчайшего пути между пунктами A и F, не проходящего через пункт E. Передвигаться можно только по указанным дорогам. В ответе запишите число.

Вопрос 3
Между населёнными пунктами A, B, C, D, E, F построены дороги, протяжённость которых приведена в таблице. Отсутствие числа в таблице означает, что прямой дороги между пунктами нет. Определите длину кратчайшего пути между пунктами A и F, проходящего через пункт E. Передвигаться можно только по указанным дорогам. В ответе запишите число.

Вопрос 4
Между населёнными пунктами A, B, C, D, E, F построены дороги, протяжённость которых приведена в таблице. Отсутствие числа в таблице означает, что прямой дороги между пунктами нет. Определите длину кратчайшего пути между пунктами A и B, проходящего через пункт D. Передвигаться можно только по указанным дорогам. В ответе запишите число.

Вопрос 5
Между населёнными пунктами A, B, C, D, E, F построены дороги, протяжённость которых приведена в таблице. Отсутствие числа в таблице означает, что прямой дороги между пунктами нет. Определите длину кратчайшего пути между пунктами A и D, проходящего через пункт E. Передвигаться можно только по указанным дорогам. В ответе запишите число.

Вопрос 6
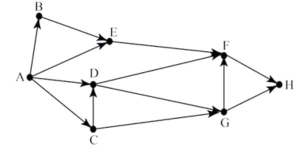
На рисунке – схема дорог, связывающих города A, B, C, D, E, F, G и H. По каждой дороге можно двигаться только в одном направлении, указанном стрелкой. Сколько существует различных путей из города A в город H, проходящих через город F?

Вопрос 7
На рисунке – схема дорог, связывающих города A, B, C, D, E, F, G и H. По каждой дороге можно двигаться только в одном направлении, указанном стрелкой. Сколько существует различных путей из города A в город H?

Вопрос 8
На рисунке – схема дорог, связывающих города A, B, C, D, E, F, G и H. По каждой дороге можно двигаться только в одном направлении, указанном стрелкой. Сколько существует различных путей из города A в город H, проходящих через город B?

Вопрос 9
На рисунке – схема дорог, связывающих города A, B, C, D, E, F, G и H. По каждой дороге можно двигаться только в одном направлении, указанном стрелкой. Сколько существует различных путей из города A в город H, проходящих через город D?

Вопрос 10
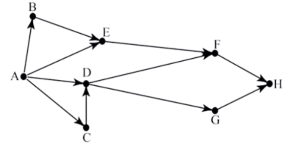
На рисунке – схема дорог, связывающих города A, B, C, D, E и F. По каждой дороге можно двигаться только в одном направлении, указанном стрелкой. Сколько существует различных путей из города A в город F, не проходящих через город Е?



