Линейная функция и ее график
Будеева Ольга Владимировна
04.12.2023.
Тест. Алгебра, 7 класс
Тест на тему "Линейная функция и ее график".Разбалловка теста - 3,4,5 баллов, в зависимости от сложности вопроса. Порядок заданий и вариантов ответов в тесте случайный. С допущенными ошибками и верными ответами можно будет ознакомиться после прохождения теста. Удачи!
Система оценки:
5* балльная
Список вопросов теста
Вопрос 1
Функция, которую можно задать формулой y = kx + b, где x - независимая переменная, а k, b - числа, называется ...
В ответ запишите только слово. Например: прямой
Вопрос 2
Дополните:
Графиком линейной функции является ...
В ответ запишите только слово. Например: окружность
Вопрос 3
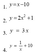
Отметьте функции, которые являются линейными.

Варианты ответов
- 1
- 2
- 3
- 4
Вопрос 4
Линейная функция задана формулой y = -x + 0,5. Чему равно значение y, соответствующее x, равному 2,5?
Варианты ответов
- -2
- 2
- -3
- 1,5
Вопрос 5
Линейная функция задана формулой y = 10x + 0,1. Найдите значение x, при котором y = 1,1.
Варианты ответов
- 0,01
- 0,001
- 1
- 0,1
Вопрос 6
Выберите точки, которые принадлежат графику линейной функции y = -3x + 5.
Варианты ответов
- А(0; 5)
- В(2; -1)
- С(1; -2)
- D(-10; 35)
Вопрос 7
Верно ли, что график функции y = 9x + 5 параллелен графику функции y = -9x - 5?
Варианты ответов
- верно
- не верно
Получите комплекты видеоуроков + онлайн версии
Пройти тест
Сохранить у себя:
Тесты по алгебре 7 класс
0
419
Нравится
0


