Графический метод решения уравнений
Альгина Екатерина Анатольевна
27.04.2020.
Тест. Алгебра, 7 класс
Тест рассчитан на 15 минут. В результате выполнения теста будут проверены знания по решению систем графическим способос
Система оценки:
5 балльная
Список вопросов теста
Вопрос 1
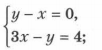
Решите графически систему уравнений
Варианты ответов
- (1;4)
- (-1;4)
- (-4;-1)
- (4;1)
Вопрос 2
Решите систему уравнений графическим способом и запишите пару чисел, являющуюся решением данной системы 
Варианты ответов
- (-2;2)
- (1;2)
- (2;2)
- (0;2)
Вопрос 3
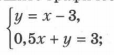
Какая из пар чисел являются решением системы 
Варианты ответов
- (-5;1)
- (1;4)
- (3;2)
- (2;3)
Вопрос 4
Какая из систем имеет решение
Варианты ответов
- 1
- 2
- 3
Вопрос 5
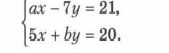
Пара чисел(7;5) является решением системы уравнений 
Найдите значения a и b.
Варианты ответов
- а=-8, b=3
- a=8, b=3
- a=-8, b=-3
- a=8, b=-3
Получите комплекты видеоуроков + онлайн версии
Пройти тест
Сохранить у себя:
Тесты по алгебре 7 класс
0
839
Нравится
0


