Формула суммы первых n членов АП
Список вопросов теста
Вопрос 1
Найдите сумму первых пяти натуральных чисел арифметической прогрессии, состоящей из всех натуральных чисел кратных пяти, записанных в порядке возрастания. В ответ запишите только число, например 5. Если в ответе получится десятичная дробь, то отделите целую часть от дробной запятой. Например: 0,3. Если в ответе получается отрицтельное число, то пробел между знаком минуса и числом ставить не надо. Например, -2
Вопрос 2
Выберите верное утверждение о сумме первых 4 членов арифметической прогреcсии (an): 3, 1, -1, ... .
Варианты ответов
- Сумма меньше нуля.
- Сумма равна нулю.
- Сумма больше нуля.
Вопрос 3
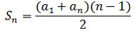
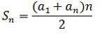
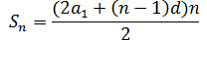
По какой формуле можно найти сумму n первых членов арифметической прогрессии?
Варианты ответов
Вопрос 4
Вычислите сумму третьего и седьмого членов арифметической прогрессии, заданной формулой Сn=7 - 2n
Вопрос 5
Сумма первых 17 членов арифметической прогрессии, заданной формулой an=11,2-2n, равна ... .
Варианты ответов
- -115,6
- 115,6
- 272
- 462,2
Вопрос 6
Вычислите сумму всех членов арифметической прогрессии с 3 по 6 включительно, если a1=-1 и a2=0. В ответ запишите только число, например 5. Если в ответе получится десятичная дробь, то отделите целую часть от дробной запятой. Например: 0,3. Если в ответе получается отрицтельное число, то пробел между знаком минуса и числом ставить не надо. Например, -2
Вопрос 7
Сумма первых десяти членов арифметической прогрессии равна -605 (S10=-605). Укажите формулу n-ого члена данной арифметической прогрессии.
Варианты ответов
-
an=7n
-
an=-n+22
-
an=-7n-22
Вопрос 8
Сумма всех отрицательных членов арифметической прогрессии, заданной формулой an=0,5n-2, равна ... .
Варианты ответов
- 3
- 4
- -4
- -3
Вопрос 9
Вычислите сумму ста первых членов арифметической прогрессии, у которой a1=-12 и d=3.
Варианты ответов
- 13650
- -13650
- 16050
- -16050
Вопрос 10
Сумма какого количества первых членов арифметической прогрессии равна 13,5, если a1=-2,5 и d=1? В ответе укажите только количество членов. В ответ запишите только число, например 5






