Домашнее задание. Вариант 2 - сентябрь. Номер 15. На 25 минут.
Автор скрыт
27.11.2021.
Тест. Математика, 11 класс
Домашнее задание. Вариант 2 - сентябрь. Номер 15. На 25 минут.
Система оценки:
10 балльная
Список вопросов теста
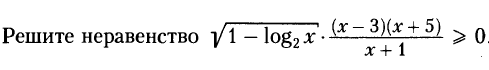
Вопрос 1

Варианты ответов
- (2; 3]
- [2; 3]
- [3; 5]
- (1; 2]; [3; 5]
- {2}
Получите комплекты видеоуроков + онлайн версии
Пройти тест
Сохранить у себя:
Тесты по математике 11 класс
0
102
Нравится
0


