Тест № 6. Алгебраические выражения
Список вопросов теста
Вопрос 1
1. Какое из данных ниже чисел является значением выражения \(\frac{14}{\left(3\sqrt{7}\right)^2}\)
Варианты ответов
-
\(\frac{2}{3}\)
-
\(\frac{2}{9}\)
-
\(\frac{14}{9}\)
-
\(\frac{14}{3}\)
Вопрос 2
2. Какое из данных ниже чисел является значением выражения \(\frac{\left(5^3\right)^{-4}}{5^{-11}}\)
Варианты ответов
-
\(5^{10}\)
-
\(\frac{1}{5}\)
-
\(5\)
-
\(5^{-23}\)
Вопрос 3
3.
Дано выражение 4–10·(44)2 . Какому варианту ответа соответствует его значение?
Варианты ответов
-
\(16\)
-
\(\frac{1}{16}\)
-
\(-16\)
-
\(\frac{1}{256}\)
Вопрос 4
4. Определите, какое значение имеет выражение \(\frac{\sqrt{98}}{7}\)
Варианты ответов
-
\(\sqrt{2}\)
-
\(2\)
-
\(7\)
-
\(7\sqrt{2}\)
Вопрос 5
5. Какое из приведенных ниже выражений является значением данного: \(\frac{1}{4-\sqrt{14}}\)
Варианты ответов
-
\(\frac{4-\sqrt{14}}{2}\) -
\(4-\sqrt{14}\) -
\(4+\sqrt{14}\) -
\(\frac{4+\sqrt{14}}{2}\)
Вопрос 6
6. Дано выражение
. Какое из чисел, приведенных ниже, является значением этого выражения?
Варианты ответов
-
\(1024\)
-
\(\frac{1}{32}\)
-
\(64\)
-
32
Вопрос 7
7. Дано выражение
. Найти соответствующее ему значение среди приведенных ниже чисел.
Варианты ответов
-
\(24\sqrt{6}\)
-
\(5\)
-
\(12\)
-
\(4\sqrt{6}\)
Вопрос 8
8. Дано выражение (9·10–2)2·(11·105). Найдите его значение.
Вопрос 9
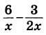
9. Определите значение выражения
, если х=–1,8.
Вопрос 10
10. Вычислите значение алгебраического выражения 12ab + 2(–3a + b)2 при \(a=\sqrt{10}\ b=\sqrt{3}\)


