А - 7. Повторение. Одночлены и многочлены
Автор скрыт
07.05.2021.
Тест. Алгебра, 7 класс
Проверка базовых знаний по теме. Постарайтесь правильно решить больше заданий
Система оценки:
5* балльная
Список вопросов теста
Вопрос 1

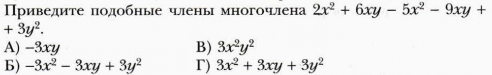
Вопрос 2

Варианты ответов
- А
- Б
- В
- Г
Вопрос 3

Варианты ответов
- А
- Б
- В
- Г
Вопрос 4

Варианты ответов
- А
- Б
- В
- Г
Вопрос 5

Варианты ответов
- А
- Б
- В
- Г
Вопрос 6

Варианты ответов
- А
- Б
- В
- Г
Вопрос 7

Варианты ответов
- А
- Б
- В
- Г
Вопрос 8

Варианты ответов
- А
- Б
- В
- Г
Вопрос 9

Варианты ответов
- А
- Б
- В
- Г
Вопрос 10

Вопрос 11

Вопрос 12
Упростите выражение и найдите его значение

Получите комплекты видеоуроков + онлайн версии
Пройти тест
Сохранить у себя:
Тесты по алгебре 7 класс
0
352
Нравится
0


