Урок по физике в 7 классе
«Сообщающиеся сосуды »
Учитель физики – Панюков Владимир Анатольевич
Цель урока:
формирование интеллектуальных умений анализировать, сравнивать, находить примеры сообщающихся сосудов в быту, технике, природе;
овладение умениями проводить наблюдения явления, описывать и обобщать результаты наблюдений, применять полученные знания для объяснения принципов действия технических устройств, для решения физических задач;
развитие познавательных интересов, самостоятельности в приобретении новых знаний;
воспитание убежденности в возможности познания природы;
применение полученных знаний и умений для решения задач повседневной жизни.
Учащиеся должны:
уметь опознавать сообщающиеся сосуды;
знать, как располагается однородная жидкость в сообщающихся сосудах;
Тип урока: урок усвоения новых знаний.
Оборудование:
Для учителя: стеклянные трубки, соединённые резиновой трубкой с зажимом, штативы, сообщающиеся сосуды разной формы. Подкрашенная вода, керосин. Модель фонтана, сообщающиеся сосуды разной формы, бытовые приборы (чайник). Рисунки различных сообщающихся сосудов (шлюзы, сифон под раковиной, водопровод с водонапорной башней…)
Для учеников: стаканы с водой, мензурки, бруски на нитке, линейки.
Рисунки - три вида чайников (правильный, в поднятым носиком, с носиком ниже главного сосуда).
План урока.
| | ЭТАП | ВРЕМЯ, мин | ПРИЁМЫ И МЕТОДЫ. |
| 1. | Введение | 2 | Беседа |
| 2. | Экспериментальное задание. | 8 | Фронтальный эксперимент |
| 3. | Подведение итогов фронтального эксперимента. Постановка учебных проблем | 4 | Фронтальный опрос. Сообщение учителя |
| 4. | Изучение нового материала: исследование расположения уровня жидкости в сообщающихся сосудах | 15 | Беседа, эксперимент, записи на доске, в тетрадях |
| 5. | Применение сообщающихся сосудов в быту, технике, природе. | 7 | Демонстрация фонтана |
| 6. | Решение задачи на закрепление | 6 | Беседа, записи на доске и в тетрадях |
| 7. | Итоги урока. Домашнее задание. | 3 | Фронтальный опрос. Записи задания на доске и в дневниках. |
Ход урока
- Введение
На протяжении нескольких уроков мы изучаем давление, производимое жидкостями и газами. Что было нами установлено? (Добиться ответов: жидкости и газы оказывают весовое давление на дно и стенки сосудов, на все погруженные тела. Это давление зависит от плотности и глубины.)
Сейчас вам предстоит выполнить задание. Если выполнение будет успешным, значит, вы усвоили материал. Если возникнут трудности, то при дальнейшей работе на уроках постарайтесь во всём разобраться.
- Экспериментальное задание.
Оборудование на столах.
| 1 вариант | 2 вариант |
| 1. Рассчитайте давление воды на дно стакана. | 1. Рассчитайте давление воды на дно стакана. |
| 2. Изменится ли давление воды на дно стакана, если в воду полностью погрузить брусок? Ответ обоснуйте. | 2. Изменится ли давление воды на дно сосуда, если воду перелить из стакана в мензурку? Ответ обоснуйте. |
- Подведение итогов фронтального эксперимента. Постановка учебных проблем
После того, как все работы собраны, обсуждается способ выполнения заданий:
Достаточно было измерить глубину воды, чтобы рассчитать давление.
Во втором задании увеличилась глубина жидкости, следовательно, увеличилось давление воды на дно.
Мы с вами работали с сосудами различного объёма и формы, но на практике часто встречаются сосуды, которые соединены между собой. Кроме того, в таких сосудах могут находиться разные жидкости. Сегодня мы рассмотрим именно такие сосуды и получим интересные выводы.
- Изучение нового материала: исследование расположения уровня жидкости в сообщающихся сосудах.
Сегодня речь пойдет о сосудах, с которыми встречаемся каждый день дома и в школе, когда наливаем чай или поливаем цветы из лейки.
Демонстрация: Лейка, чайник. Такие сосуды получили название сообщающиеся сосуды (Учащиеся записывают дату и тему урока в тетради).
Что общего у этих предметов?
Учащиеся. Вода, налитая, например, в чайник, стоит всегда в резервуаре чайника и в боковой трубке на одном уровне. Боковая трубка и резервуар соединены между собой в нижней части.
Правильно. Сообщающимися сосудами называют сосуды, соединенные между собой в нижней части. (Учащиеся записывают определение в тетради).
Опыт: две стеклянные трубки соединены шлангом с зажимом. Вода только в одной трубке. Что произойдёт, если открыть кран? (Добиться ответа: жидкость будет перетекать, пока давления в трубках не выровняются. Речь идёт о давлениях, производимых жидкостью в трубках на жидкость в шланге).
Опыт: две стеклянные трубки разной толщины соединены шлангом с зажимом. Вода в трубках на одном уровне. Что произойдёт, если открыть кран? (Добиться ответа: жидкость не будет перетекать, т.к. давления в трубках одинаковы).
Вывод: в сообщающихся сосудах любой формы однородная жидкость устанавливается на одном уровне. Подтверждение вывода на модели сообщающихся сосудов.
Опыт: три сосуда разной формы (изучение гидростатического парадокса). Одинаковое ли давление оказывает вода на дно этих сосудов, если вода в ней налита до одного уровня? Зависит ли давление на дно сосуда от массы жидкости в сосуде? (Добиться ответа: давление одинаковое, от массы жидкости в сосуде давление не зависит).
Вывод: в сообщающихся сосудах не масса жидкости, а высота столба жидкости, отвечает за величину давления в жидкости. Этот факт обнаружил Б.Паскаль и назвал его «гидростатический парадокс».
Опыт: в сообщающихся сосудах вода и керосин. Можно взять трубку для демонстрации конвекции, налить в неё немного воды и доливая воду обсудить вопрос об уровне воды в двух коленах этой трубки. Затем доливать керосин и обсудить вопрос об уровнях керосина и воды. Сделать рисунок в тетради и вывести формулу отношения высот столбов разнородных жидкостей в сообщающихся сосудах.
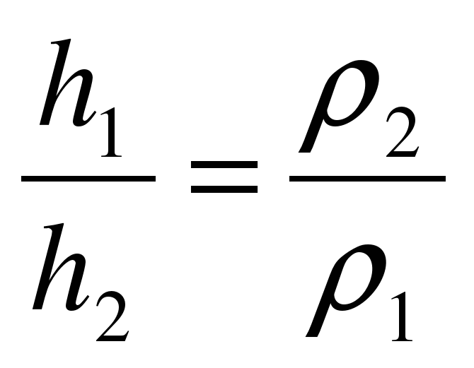
Покажем это теоретически, используя закон Паскаля и ранее изученный материал о давлении жидкости на дно сосуда (делает записи и рисунки на доске)
Выбираем за нулевой уровень горизонталь расположенную в однородной жидкости. Согласно закону Паскаля давление на одном уровне одинаково в обоих сосудах. Значит в равновесии давление столбика керосина р1, расположенного выше нулевого уровня, равно давлению столбика воды
р1= р2, р1 = ρ1 g h1, р2 = ρ2 g h2, ρ1 g h1 = ρ2 g h2,
или 
Вывод: неоднородные жидкости в сообщающихся сосудах находятся в равновесии, если высоты их столбов обратно пропорциональны их плотностям.
- Применение сообщающихся сосудов в быту, технике, природе.
Закон сообщающихся сосудов люди используют в разных технических устройствах: водопроводах с водонапорной башней; водомерных стеклах; гидравлическом прессе; фонтанах; шлюзах; сифонах под раковиной, “водяных затворах” в системе канализации.
Закон сообщающихся сосудов люди используют в быту (чайник, кофейник, лейка)
В водомерном стекле парового котла, паровой котел (1) и водомерное стекло (3) являются сообщающимися сосудами. Когда краны (2) открыты, жидкость в паровом котле и водомерном стекле устанавливается на одном уровне, так как давления в них равны.
Действие артезианских колодцев и гейзеров основано на законе сообщающихся сосудов.
Шлюз. Прежде чем обсуждать принцип действия шлюза, необходимо предложить учащимся подумать о назначении этого сооружения, т.е. о том, чем вызвана необходимость его применения. Если ученики не могут дать ответ, следует объяснить им, что шлюзы служат для беспрепятственного прохождения судами тех мест судоходных рек, в которых имеются плотины и пороги, а также, если отдельные участки канала лежат выше или ниже уровня рек, которые соединяет канал
Закон сообщающихся сосудов люди используют в водопроводах с водонапорной башней. Водонапорная башня и стояки водопровода являются сообщающимися сосудами, поэтому жидкость в них устанавливается на одном уровне.
Решение задачи (для закрепления).
1). В два сосуда налита вода. В каком сосуде давление на дно больше и на сколько, если h1= 40 см, а h2 = 10 см? В каком направлении до каких пор будет переливаться вода, если открыть кран ? (рисунок на доске)
| Дано: h1= 40 см h2= 10 см g = 9,8 Н/кг ρ = 1000 кг/м3 | СИ 0,4 м 0,1 м | Решение: p = ρgh p1 = 1000· 9,8 · 0,4 = 3920 (Па) р2 = 1000 · 9,8 · 0,1 = 980 (Па) р1 –р2= 3920 – 980 = 2940 (Па) 2940 Па = 2,94 кПа Ответ: в левом сосуде давление больше на 2,94 кПа; вода будет переливаться из левого сосуда в правый, пока уровень жидкости не станет равным. |
| p1 - ? p2 - ? |
2). Можно ли заполнить доверху сосуды №1, №2, №3?
рисунок на доске
3) В каком колене трубки на находится
менее плотная жидкость?
рисунок на доске
7. Итоги урока. Домашнее задание
Учитель. Сегодня на уроке мы познакомились с сообщающимися сосудами, в которых жидкость устанавливается на одном уровне. Мне очень интересно было работать с вами. Вы показали отличный уровень подготовки к уроку. Теперь вы знаете, что закон сообщающихся сосудов люди используют в разных технических устройствах: водопроводах с водонапорной башней; водомерных стеклах; фонтанах; шлюзах; сифонах под раковиной, “водяных затворах” в системе канализации.
Всем спасибо за работу. Записываем домашнее задание.
Обязательное: изучить §51 (Учебник, автор А.В. Пёрышкин Физика 7) Создать сообщающиеся сосуды, используя две бутылки и резиновую трубку (желающие)
(Учащиеся записывают домашнее задание в дневники)