| РАССМОТРЕНО : на заседании ПЦК №1
| Входной контроль По дисциплине МАТЕМАТИКА Для профессии СПО: 15.02.19 Сварочное производство
| УТВЕРЖДАЮ: |
| Вид | ||
| В результате освоения учебной дисциплины обучающийся должен уметь: Вычислять десятичные и обыкновенные дроби; приводить к общему знаменателю Решать квадратные уравнения; находить дискриминант; извлекать корни Решать системы уравнений различными способами; Решать неравенства; Находить площади плоских фигур; Вычислять периметр и площадь треугольника. В результате освоения учебной дисциплины обучающийся должен знать: формулы площади трапеции формулы площади треугольника теорему Пифагора понятия катеты и гипотенуза способы решения систем уравнений (сложение, вычитание, подстановка) способ решения неравенства методом интервалов
| ||
| Инструкция | ||
| Критерии «5»(отлично) – 6 верно выполненных заданий
| ||
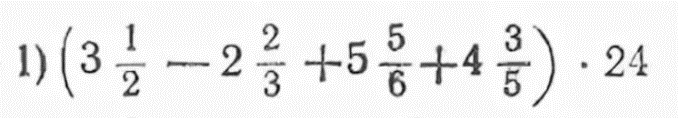
| Найти значение выражения
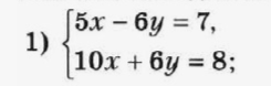
Решить уравнение 3x2+8x−7=0 Решить систему уравнений
Решить неравенство
На клетчатой бумаге с размером клетки 1×1 изображена трапеция. Площадь трапеции
Вычислить периметр и площадь прямоугольного треугольника гипотенуза которого равна 8 см, один из катетов – 6 см. Сделать чертеж. | ||


Срезовая работа по математике (1 курс) (164.79 KB)

