Научно-практическая студенческая внутриколледжная конференция
«Весна. Юность. Наука»
Секция : Научный дебют
Направление науки : математика
Название работы:
Геометрия пчелиных сот
Автор работы:
Козлов Дмитрий Андреевич, студент 1 курса
БПОУ ВО «ЧМК»
Научный руководитель:
Корчуганова И.Б. – преподаватель математики
Место выполнения работы:
бюджетное профессиональное образовательное учреждение Вологодской области «Череповецкий металлургический колледж имени академика
И.П. Бардина»
Череповец
2017 год
| Содержание
| Стр. |
| Введение | 3 |
| Глава 1. Пчелы – инженеры | 4 |
| 1.1 Пчелы, какие они? ………………………………………………. | 4 |
| 1.2 Процесс создания сот……………………………………………. | 5 |
| Глава 2. Гипотеза может быть доказана |
|
| 2.1 Преимущества шестиугольной призмы для сот..…………….. | 5 |
| 2.2 Применение конструкции пчелиных сот……………………… | 8 |
| 2.3 Параллель между работой пчел и моей будущей профессией... | 9 |
| Заключение | 11 |
| Литература | 12 |
Введение
Весь процесс строения сот очень удивительный, ведь сами пчёлы - это те же инженеры. У пчёл хорошо развита способность строить нужную им форму сот.
Наблюдая за самим процессом создания, можно заметить много удивительного, то что можно изучить глубже, что и будет отражено в работе.
Многие люди не задумываются о том, почему пчелы выбирают именно такую фигуру, как они ее строят. Но, на мой взгляд - это довольно интересный процесс, который можно связать с проектированием.
Цели работы:
Узнать какую форму выбирают пчелы для сот;
Выявить причину их выбора;
Изучив материал, узнать о том, как происходит проектирование сот;
Связать проектирование сот со своей будущей профессией.
Для достижения поставленных целей необходимо решить следующие задачи:
Используя литературные источники и сеть Интернет, найти, выбрать, проанализировать нужную информацию;
Исследовать строение пчелиных сот на экономичность и вместимость, выполнив математические расчёты;
Доказать совершенство конструкции пчелиных сот.
Объект: Математическая модель сот.
Предмет: Пчелиные соты
Направление науки: математика
Гипотеза: Форма шестиугольной призмы самая оптимальная для постройки сот.
Проблема: Какую форму выбирают пчелы для сот? Почему?
Моя работа может быть использована на уроках геометрии, на различных конкурсах и как иллюстративный материал. Данная работа может помочь расширить знания студента и преподавателя.
1.Пчелы – инженеры.
1.1 Пчелы, какие они?
На протяжении всей истории внимание многих людей не только привлекала необычная архитектура пчелиных сот, но и удивляла красота и правильность их построения. Это настоящий математический шедевр из воска, созданный очень кропотливым трудом умнейших пчел.
Пчели́ные со́ты — восковые постройки пчёл, предназначенные для хранения запасов корма (мёда и перги) и выращивания потомства; являются также гнездом пчелиной семьи.
Рисунок 1 -Пчелиные соты
В организме рабочей пчелы с 12 по 18 день начинают действовать восковые железы, и она начинает вместе с другими особями заделывать ячейки и строить соты.
Среди многих инстинктивных проявлений, свойственных пчелам как общественным насекомым, наибольшее восхищение вызывает создание ими идеальных по форме сот. Пчелы скоординировано, быстро и умело строят в улье вертикальные ряды ячеек из воска, выделяемого брюшными железами.
Иоганн Кеплер, гениальный ученый, который исследовал пчелиные соты, подсчитал, что пчела, находясь в ячейке, может контактировать с девятью другими особями: «Объем работы сократится, если две пчелы будут воздвигать одну общую стену»
Объяснить такие «познания» пчел ученым пока не удалось. Ведь эти насекомые не знают геометрии, не могут сравнивать между собой разные формы сосудов, чтобы выбрать наиболее оптимальную форму. Значит, пчелы были изначально обеспечены уникальной врожденной программой и инстинктом, которые позволили им выживать в течении миллионов лет.
1.2 Процесс создания пчелиных сот.
Сот представляет собой пласт, который состоит из ячеек.
Толщина сота 25 мм. Пласты прикрепляются вертикально на расстоянии 10-12 мм. Это расстояние называется улочкой и пчёлы, сидя на соседних сотах, не касаются друг друга спинками.
Ячейки сот формируются над старыми, заполняются вкусным лакомством, а сверху запечатываются еще одним слоем воска. Над этими ячейками появляются еще одни, и так продолжается весь сезон.
Сооружение ячеек происходит таким образом. Пчела выделяет воск, передними лапками подводит его к челюстям и перерабатывает. Чешуйки воска раздавливаются при помощи особого пчелиного вещества, а их фрагменты один за другим крепятся в нужное место. Сначала насекомые формируют дно, а затем возводят стенки шестиугольной формы.
И что удивительно, то весь процесс построения сот происходит в полной темноте. Пчела не может использовать органы зрения, т.к. в темноте она не видит. Для построения сот одной семье требуется 4-6 кг воска. Других материалов пчёлы при строительстве не применяют. На выделение 1 кг воска расходуется 3 кг мёда. За год одна пчелиная семья поедает 70 – 90 кг мёда, из них 10-12 кг мёда расходуется в период зимовки.
2. Гипотеза может быть доказана
2.1 Преимущества шестиугольной призмы для пчел.
При рассмотрении пчелиных сот с точки зрения геометрии, для достижения меньших затрат воска необходимо плоскость делить на многоугольники с меньшим периметром.
Для того, чтобы узнать почему пчелы выбирают именно шестиугольник, проведем небольшой эксперимент.
Я взял несколько равных квадратов, треугольников, трапеций, кругов и шестиугольников и других правильных многоугольников. Попытался сложить их так, чтобы между ними не было пробелов, и пришёл к выводу, что для построения подходят: треугольник, квадрат, шестиугольник, т.к. при плотной укладке у остальных остаётся пробел.
Но всё-таки, -Почему пчелы используют именно правильный шестиугольник, а не правильный треугольник или квадрат?
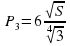
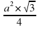
Чтобы ответить на этот вопрос, сравним периметры правильных многоугольников: треугольника, квадрата и шестиугольника, имеющих одинаковую площадь.
S3=S4=S6=S
S3=
,
,
;
Рисунок 2- Правильный треугольник

,
,
;
Рисунок 3 - Квадрат
,
,
;
Если найти отношение их периметров, т.к. для постройки соты воск выкладывается по периметру, то получаем следующее:
Рисунок 4- Правильный шестиугольник
Таким образом, из трёх правильных многоугольников с одинаковой площадью наименьший периметр имеет правильный шестиугольник.
Значит, выбирая для построения сот в форме правильного шестиугольника, пчёлы экономят воск.
Так как соты имеют форму правильной призмы, то сравним площади боковых поверхностей правильных призм, треугольной, четырёхугольной и шестиугольной, в основаниях которых данные многоугольники. Их размеры должны быть минимизированы до размера описанного многоугольника вокруг круга – равного диаметру пчелы. Высоту призмы обозначим Н.
По нашей гипотезе объём максимальный с равными площадями поверхностей должна иметь шестиугольная призма. Проверим это.

Рисунок 5 -Правильная
треугольная призма

Рисунок 6- Правильная
четырёхугольная призма

Найдём отношение площадей:
Рисунок 7 - Правильная шестиугольная призма
Таким образом, я получил, что наименьшую боковую поверхность с равными высотами и равными площадями оснований имеет правильная шестиугольная призма. Мною доказано, что форма шестиугольной призмы обеспечивает максимальную вместимость при минимальных затратах.
Оказывается, что не только строительство сот подчинено этой закономерности. Все рабочие процессы в семье пчел протекают строго по закону наименьшей траты сил, времени и материала. От своего гнезда до цветущих медоносов и обратно пчелы летят всегда кратчайшей дорогой,
т.е. по прямой.
2.2 Применение конструкции пчелиных сот
Сотовые панели – это конструкция с внутренней алюминиевой прослойкой. Между двумя алюминиевыми листами находится наполнитель шестиугольной формы, который имеет «ячеистую» структуру. Сотовые панели широко используются в строительстве. В перспективе могут использоваться в конструкциях интерьера транспортных средств.
Рисунок 8- Сотовая панель
По конструкции сотовые панели представляют собой материалы, состоящие из тонкостенных пустотелых ячеек. Все ячейки имеют одинаковую шестигранную форму (аналогично пчелиным сотам). Сотовые панели применяют для изготовления силовых конструкциях, т.е. тех, которые несут нагрузку., а также в тепло- и звукоизолирующих конструкциях. Сотовые панели используют в судостроении, конструкциях летательных аппаратов вследствие низкой плотности), транспортных средствах (рефрижераторы), криогенной технике, строительстве и других целях. В летательных аппаратах получили распространение термостойкие и трудногорючие сотовые панели на основе термостойких бумаг из фенилона (номекса) и термостойких связующих. Такие сотовые панели обладают минимальной массой при достаточно высоких механических свойствах.
Сотовые конструкции также используются при изготовлении лопастей несущего винта вертолётов, что позволяет продлить срок их службы с 200 до 2000 часов, увеличить надёжность и аэродинамические характеристики. Одновременно снижается трудоёмкость их изготовления в 1.5-2 раза.
В настоящее время производство сотовых панелей развивается и в Росси и за рубежом. Основные поставщики сотовых панелей на Европейском рынке и в США являются компании CELCOMPONENTSS.r.l (Италия), PlascoreIncorporated (США), Pacific PanelsInc.(США), XENAPAN (Турция),
Panelium Kompozit Sistemleri (Турция), Tosolbond Composites( Индия). На российском рынке производством сотовых панелей занимаются такие компании как, ООО НПП "Технология" (г. Обнинск), ООО «Экосистем»
(г.Чехов, Московская область), ЗАО «Рекаст» (г. Сосенский, Калужская область).
Рисунок 9 -
Газонная решётка
Газонные решетки - состоят из многофункциональной пространственной структуры модулей типа "пчелиные соты». Они придают травяному укрытию высокую устойчивость к механическим нагрузкам. Газонные решетки также предназначены для применения на автомобильных стоянках. Тонкие стенки их составных элементов выносят большие поверхностные нагрузки (как и прочные пчелиные соты).
2.3 Параллель между работой пчёл и моей будущей профессией
Как я уже раньше сказал, что пчёлы – это те же инженеры, которые делают ячейки и с каждым их поколением этот навык становится лучше. Задача изучения строения пчелиных сот, является прикладной задачей, изучение и решение которой позволяет реализовать практическую направленность математики.
Технолог Машиностроения - это комплексная наука, изучающая действующие при изготовлении машин закономерности для их использования в производстве новых деталей и машин заданного качества на основе применения компьютерной техники и компьютерных систем автоматизированного проектирования.
Работая технологом машиностроения учитываются те же нюансы :
При проектировке и конструировании любых деталей;
При счете параметров типовых деталей и узлов технологической оснастки и т.д.
Заключение
В своей работе я определил и доказал что правильная шестиугольная призма - самая идеальная геометрическая форма для максимального использования единицы объёма при минимальных затрат для её постройки.
Проделанная работа дала мне возможность подробнее ознакомиться с таким понятием в геометрии, как призма. На мой взгляд, строительство пчелиных сот - довольно интересный процесс, который можно связать с проектированием, а оно тесно связано с моей будущей профессией технолога машиностроения. Ведь разработка моделей очень важна, нужно учитывать все нюансы, что и делают пчелы при строительстве своих сот.
Считаю свою работу интересной, полезной и содержательной. Думаю, что все задачи, поставленные для достижения цели, выполнены.
Литература
1. Берсудский В.Е.,Крысин В.Н.Технология изготовления сотовых авиационных конструкций. :М.Машиностроение,1975. 296 с
2. Погорелов А.В., Геометрия, : М.Просвещение, 2000.306с
3. Штейнгауз Г.А. Математические секреты пчелиных сот. Математический калейдоскоп. :М. Наука, 1981
4. http://pcheliniydom.ru/pchelovodstvo/paseka/kak-pchely-delayut-soty.html -
5. http://roypchel.ru/uley/dikij.html -
6. http://al-bee.com/глава-xxii-ум-и-инстинкт-пчел/
7. https://www.volit.ru/index.php/abitur/2012-05-30-08-40-13/1353-2012-09-04-09-59-11
Цель работы – исследование принципа построения пчелиных сот и изучение практической направленности применения этого принципа в нашей жизни.
Задачи:
•Исследовать строение пчелиных сот на экономичность, вместимость и прочность, имея необходимый запас знаний по математике
•Доказать совершенство конструкции пчелиных сот
•Показать применение конструкции пчелиных сот
Пчелиные соты представляют собой пространственный паркет, поскольку заполняют пространство так, что не остаётся просвета. В сечении соты представляют паркет из правильных шестиугольников.


Проект "Геометрия пчелиных сот" (440.27 KB)

