Меню
Разработки
Разработки  /  Информатика  /  Презентации  /  8 класс  /  Презентация по информатике "Тексты в компьютерной памяти"

Презентация по информатике "Тексты в компьютерной памяти"

В презентации рассматриваются достоинства и недостатки компьютерного текста, кодовые таблицы, текстовые редакторы.
21.02.2015

Описание разработки

Достоинства

Компактное размещение.

Легко удалить ненужный текст.

Легко размножать и перемещать на другие носители.

Легко перемещать на большие. расстояния по электронной почте.

Недостаток

Прочитать можно только с помощью компьютера.

Презентация по информатике Тексты в компьютерной памяти

Для компьютерного текста

Один символ компьютерного алфавита кодируется с помощью 8 символов двоичного алфавита

ASCII (American Standard Code for Information Interchange) - американский стандартный код для обмена информацией

Содержимое разработки

Тексты в компьютерной памяти

Тексты в компьютерной памяти

Достоинства Компактное размещение. Легко удалить ненужный текст. Легко размножать и перемещать на другие носители. Легко перемещать на большие. расстояния по электронной почте. Недостаток Прочитать можно только с помощью компьютера.

Достоинства

  • Компактное размещение.
  • Легко удалить ненужный текст.
  • Легко размножать и перемещать на другие носители.
  • Легко перемещать на большие. расстояния по электронной почте.

Недостаток

  • Прочитать можно только с помощью компьютера.
Для компьютерного текста   N =256 i= 8 бит = 1 байт Один символ компьютерного алфавита кодируется с помощью 8 символов двоичного алфавита ASCII  ( American Standard Code for Information Interchange ) - американский стандартный код для обмена информацией 00000000 – 01111111 0 - 127 В Windows используется ANSI ( American Standard Institute )- Американский национальный институт стандартов Остальные 128 символов от 10000000 до 11111111  КОДОВАЯ СТРАНИЦА Кодовая страница с № 1251 содержит русский алфавит ( CP1251 )

Для компьютерного текста

N =256 i= 8 бит = 1 байт

Один символ компьютерного алфавита кодируется с помощью 8 символов двоичного алфавита

ASCII  ( American Standard Code for Information Interchange ) - американский стандартный код для обмена информацией

00000000 – 01111111 0 - 127

В Windows используется ANSI ( American Standard Institute )- Американский национальный институт стандартов

Остальные 128 символов от 10000000 до 11111111

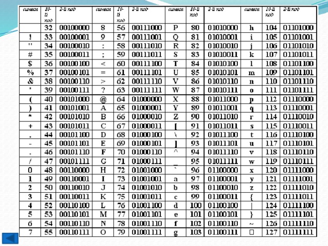
КОДОВАЯ СТРАНИЦА

Кодовая страница с № 1251 содержит русский алфавит ( CP1251 )

КОДОВАЯ СТРАНИЦА CP1251

КОДОВАЯ СТРАНИЦА CP1251

Текстовый редактор – это прикладная программа, используемая для создания, редактирования и сохранения текстового документа

Текстовый редактор – это прикладная программа, используемая для создания, редактирования и сохранения текстового документа

Блокнот Microsoft Office Word Adobe Page Maker Microsoft Front Page
  • Блокнот
  • Microsoft Office Word
  • Adobe Page Maker
  • Microsoft Front Page
-80%
Курсы дополнительного образования

Создание динамических веб-страниц с помощью PHP и MySQL

Продолжительность 72 часа
Документ: Cвидетельство о прохождении курса
4000 руб.
800 руб.
Подробнее
Скачать разработку
Сохранить у себя:
Презентация по информатике "Тексты в компьютерной памяти" (0.69 MB)

Комментарии 0

Чтобы добавить комментарий зарегистрируйтесь или на сайт