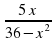
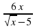
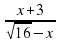
Определите посторонние корни уравнения.
1. 1/x
2. 1/(2-x)
3. 5x/(36-x2)
4. 4+x

5. (6-x)/2x
6. 6x/(x1/2-5)
7. (x+3)/(161/2-x)
8. 3/x2
Весь материал - в документе.
Определите посторонние корни уравнения.
1. 1/x
2. 1/(2-x)
3. 5x/(36-x2)
4. 4+x

5. (6-x)/2x
6. 6x/(x1/2-5)
7. (x+3)/(161/2-x)
8. 3/x2
Весь материал - в документе.
Определите посторонние корни уравнения










Определите посторонние корни уравнения










Определите посторонние корни уравнения










Определите посторонние корни уравнения










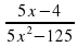
Решить уравнения
5х-4=0
6х-36=0
4х-4=0
2х+2=0
4х+5=5
-80%