Сабақ тақырыбы: Кеплер заңдары
Сабақтың мақсаты:
Білімділік. Күн жүйесі планеталары қозғалысының заңдары туралы оқушыларға алғашқы түсініктер беру, жаңа білімді қалыптастыру.
Дамытушылық. Оқушылардың табиғат танушылығын, табиғатқа қызығушылығын арттыру, логикалық ойлау қабілеттерін дамыту.
Тәрбиелік. Оқушыларды сүйіспеншілікке, мейірімділікке, адамгершілікке, еңбекшілдікке тәрбиелеу.
Сабақтың көрнекілігі: Кітап, физика мен астрономиядан тестік тапсырмалар жинағы, слайд, видеоролик.
Сабақтың түрі: Жаңа сабақ
Сабақтың әдісі: Түсіндіру, сұрақ-жауап, формулалар түрлендіріп, есептер шығару.
Сабақтың барысы:
Ұйымдастыру.
Үй тапсырмасын сұрау.
Нақты және орташа күн тәуліктерінің бір-бірінен айырмашылығы неде?
Қазақстан жері арқылы қанша және қандай сағаттық белдеулер өтеді?
Өліаралық және жұлдыздық ай строномиялық жолмен қалай аныұқталады?
Жергілікті, белдеулік және бүкіләлемдік уақыт аралығында қандай айырмашылық бар?
Тропиктік жыл ұзақтығы қалай анықталады? Оның ұзақтығы қандай?
Жаңа сабақ
Иоганн Кеплер (1571-1630) заңдары: 
1. Кеплердің бірінші заңы – планета орбитасының пішінін анықтайды: барлық планеталар Күнді эллипс бойымен айналады, оның фокустарының бірінде Күн орналасады.
Элипстің симметрия центрі – О, үлкен АА1 = 2 a және кіші ВВ1 = 2 b екі симметрия осі бар, мұндағы а – үлкен жарты ось, b – кіші жарты ось деп аталады. Оның фокусы центрден OF1 = OF2 = C = a2 – b2 қашықтықта орналасқан.
Эллипстің негізгі қасиеті: эллипстің кез келген нүктесінің фокустардан қашықтықтарының қосындысы үлкен ось ұзындығына тең болатын тұрақты шама:
MF1 + MF1 = 2 a .
e = c/a қатынасы эллипстің эксцентрисиенті деп аталады.

Астрономияда Жердің күннен орташа қашықтығы Күн жүйесінде қолданылатын қашықтық өлшеу бірлігі ретінде қабылданған. Ол астрономиялық бірлік (а.б.) деп аталады: 1 а.б. = 149 600 000 км.
Кеплердің екінші заңы – аудандар заңы планета қозғалыстарының бірқалыпты емес екендігін анықтайды: планетаның радиус-векторы бірдей уақыт аралығында шамалары бірдей уақыт аралығында шамалары бірдей аудандар сызып шығады.

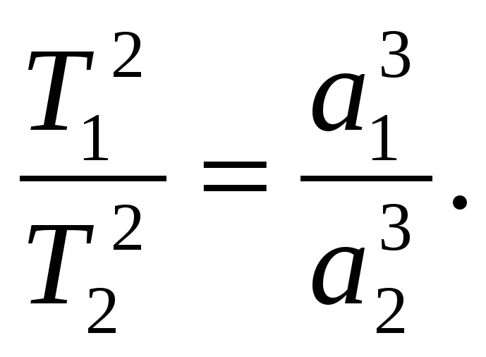
3. Кеплердің үшінші заңы планеталардың орбиталық периодтары мен олардан Күнге дейінгі қашықтық арасындағы байланысты анықтайды: кез келген екі планетаның Күнді айналу периодтары квадраттарының қатынасы олардың орбиталарының үлкен жартыосьтерінің кубтарының қатынасына тең болады.


Сабақты қорыту:
Есеп. Марс орбитасының үлкен жарты осі 1,5 а.б. оның Күнді айналу периодын есептеп шығарыңдар.
Берілгені:
a1=1.5 а.б.
a2=1 а.б.
T2 = 1 жыл
Шешуі:
жыл
Жауабы: T1 =1,9 жыл
т/к: T1 - ?
Кеплердің үшінші заңын пайдаланып, Күн жүйесіндегі планеталардың айналу периодын есептеп, графигін салыңдар. Планеталардың Күнге дейінгі орташа қашықтығы төмендегідей:
1. Меркурий – 0,39 а.б. 6. Сатурн – 9,54 а.б.
2.Шолпан – 0,72 а.б. 7. Уран – 19,2 а.б.
3. Жер – 1 а.б. 8.Нептун – 30,07 а.б.
4. Марс – 1,52 а.б. 9. Плутон – 39,46 а.б.
5. Юпитер – 5,2 а.б.
1.
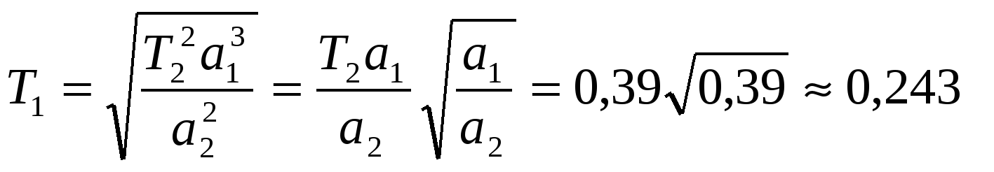
Берілгені:
a1=0,39 а.б.
a2=1 а.б.
T2 = 1 жыл
Шешуі:
жыл = 88,9 күн
Жауабы: T1 =88,9 күн
т/к: T1 - ?
2. .
Берілгені:
a1=0,72 а.б.
a2=1 а.б.
T2 = 1 жыл
Шешуі:
жыл = 222 күн
Жауабы: T1 =222 күн
т
/к: T1 - ?
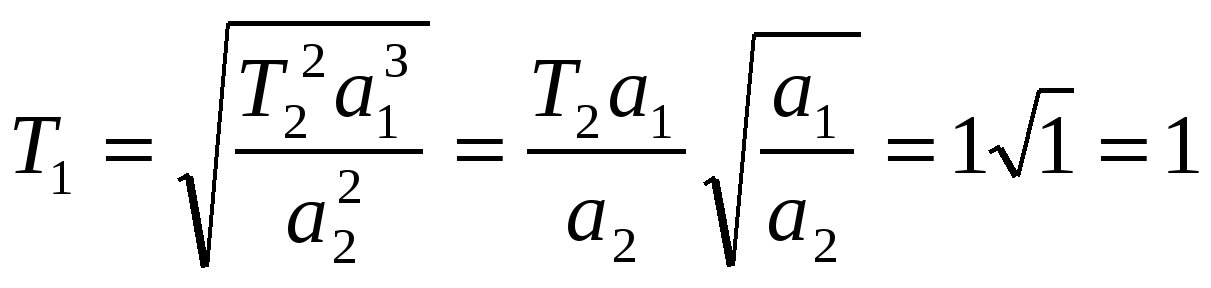
3
Шешуі:
жыл
Жауабы: T1 =1 жыл
.
Берілгені:
a1=1 а.б.
a2=1 а.б.
T2 = 1 жыл
т/к: T1 - ?
4.
.
Берілгені:
a1=1.5 а.б.
a2=1 а.б.
T2 = 1 жыл
Шешуі:
жыл
Жауабы: T1 =1,9 жыл
т/к: T1 - ?
5.
Берілгені:
a1=5,2 а.б.
a2=1 а.б.
T2 = 1 жыл
Шешуі:
жыл
Жауабы: T1 =11,85 жыл
т/к: T1 - ?
6. .
Берілгені:
a1=9.54 а.б.
a2=1 а.б.
T2 = 1 жыл
Шешуі:
жыл
Жауабы: T1 =29,466 жыл
т/к: T1 - ?
7. .
Берілгені:
a1=19,2 а.б.
a2=1 а.б.
T2 = 1 жыл
Шешуі:
жыл
Жауабы: T1 =83,253 жыл
т/к: T1 - ?
8.
Берілгені:
a1=30,07 а.б.
a2=1 а.б.
T2 = 1 жыл
Шешуі:
жыл
Жауабы: T1 =164,89 жыл
т/к: T1 - ?
9. .
Берілгені:
a1=36,46 а.б.
a2=1 а.б.
T2 = 1 жыл
Шешуі:
жыл
Жауабы: T1 =247,87 жыл
т/к: T1 - ?
Күнге жақын планеталардың жылдамдықтары, алыс планеталармен салыстырғанда аса үлкен
Үйге тапсырма: §45 оқу, 35- жаттығу есептерін шығару.
Бағалау: Оқушыларды бағалап, журналға, күнделікке баға қою.


Конспект урока Кеплер заңдары (352.5 KB)

