Вариант 1.
1. Вычислите значение выражения (81 ∙ 3- 5)2.
2. Решите уравнение 2х2 = 2(1 – 2х) + х.
3. При каких значениях х имеет смысл выражение √3-6х/√7+4х
4. Решите задачу.
Первый рабочий за час делает на 2 детали больше, чем второй рабочий, и заканчивает работу над заказом, состоящим из 192 деталей, на 4 часа раньше, чем второй рабочий выполняет заказ, состоящий из 224 таких же деталей. Сколько деталей делает в час второй рабочий?
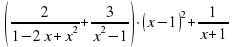
5. Упростите выражение (2/1-2х+х2+3/х2-1)*(х-1)2+1/х+1.
6. Выберите верные утверждения:

1) Если в четырёхугольнике диагонали перпендикулярны, точетырёхугольник являетсяромбом.
2) Если в четырёхугольнике противоположные углы равны, то его противоположные стороны попарно параллельны.
3) Точка пересечения диагоналей трапеции лежит на её средней линии.
4) Если в четырёхугольнике все углы прямые, то его диагонали равны.
7. В прямоугольном треугольнике АВС с прямым углом С проведена средняя линия MN, параллельная катету АС. Найдите длину средней линии МN, если АВ =√136, ВС = 10.
8. Боковая сторона трапеции равна 4см, а один из прилегающих к ней углов равен 30о.Найдите площадь трапеции, если ее основания равны 2см и 8 см.
9. Одна из диагоналей ромба на 4 см больше другой, а площадь ромба равна 96 см2. Найдите сторону ромба.
10. В треугольнике АВС на стороне АВ взяли точку М, а на стороне ВС точку N так, что углы ВАС и ВNМ равны. Известно, что АМ = 1, МВ = 3, ВN = 2. Найдите NС.
Весь материал - в документе.

.
.
, ВС = 10.
Найдите площадь трапеции, если ее основания равны 2см и 8 см.
.
.
, КЕ = 4.
Найдите площадь трапеции, если ее основания равны 3 см и 11 см.
Итоговая диагностическая работа по математике (23.66 КB)

