МИНИСТЕРСТВО ОБРАЗОВАНИЯ И НАУКИ РФ
ФЕДЕРАЛЬНОЕ ГОСУДАРСТВЕННОЕ БЮДЖЕТНОЕ
ОБРАЗОВАТЕЛЬНОЕ УЧРЕЖДЕНИЕ
ВЫСШЕГО ОБРАЗОВАНИЯ
«Мордовский государственныйпедагогический институт
имени М.Е. евсевьева»
Физико-математический факультет
Кафедра информатики и вычислительной техники
РЕФЕРАТ
3D построения в MATHCAD
Подготовила:
М. Л. Афонькина, студентка
5 курса физико-математического факультета
группы МДИ-112
Проверила:
Т. В. Кормилицына,
канд. физ.-мат. н., доцент
Саранск 2017
Содержание
Введение…………………………………………………………………………..3
1 Общие сведения о системе компьютерной математики MathCAD................5
2 Построение трехмерных графиков в MathCAD………………………….…..7
Заключение……………………………………………………………………….13
Список использованных источников…………………………………………...14
Введение
MathCAD – это популярная система компьютерной математики, предназначенная для автоматизации решения массовых математических задач в самых различных областях науки, техники и образования. Название системы происходит от двух слов – Mathematica (математика) и CAD (Computer Aided Design – системы автоматического проектирования, или САПР). Так что вполне правомерно считать MathCAD математическими САПР.
Сегодня различные версии MathCAD являются математически ориентированными универсальными системами. Помимо собственно вычислений, как численных, так и аналитических, они позволяют с блеском решать сложные оформительские задачи, которые с трудом даются популярным текстовым редакторам или электронным таблицам. С помощью MathCAD можно, например, готовить статьи, книги, диссертации, научные отчеты, дипломные и курсовые проекты не только с качественными текстами, но и с легко осуществляемым набором самых сложных математических формул, изысканным графическим представлением результатов вычислений и многочисленными «живыми» примерами. А применение библиотек и пакетов расширения обеспечивает профессиональную ориентацию MathCAD на любую область науки, техники и образования.
К важным достоинствам новых версий MathCAD относятся настройка под любой известный тип печатающих устройств, богатый набор шрифтов, возможность использования всех инструментов Windows, прекрасная графика и современный многооконный интерфейс. В новые версии MathCAD включены эффективные средства оформления документов в цвете, возможность создания анимированных (движущихся) графиков и звукового сопровождения. Тут же текстовый, формульный и графический редакторы, объединенные с мощным вычислительным потенциалом. Предусмотрена и возможность объединения с другими математическими и графическими системами для решения особо сложных задач. Отсюда и название таких системы – интегрированные системы.
Впрочем, в решении задач интеграции создатели MathCAD пошли намного дальше – эта система обеспечивает подлинную интеграцию с целым рядом других математических, графических и офисных систем. Для этого в нее включен специальный системный интегратор MathConnex. Выпущена новейшая версия системы – MathCAD 2015. В ней существенно увеличено число встроенных функций, улучшены графические возможности, повышены скорость вычислений и удобство работы.
Графическая визуализация решений математических задач имеет огромное значение. Математические системы предоставляют широкие возможности построения множества типов графиков: для функций заданных в явном виде и в параметрическом, в декартовой, полярной, сферической и цилиндрической системах координат, 3D-поверхностей, контурных, точечных графиков и графиков векторного поля, построения графиков пересекающихся трехмерных поверхностей и их линий пересечения и т. д. Применение «волшебников» (Wizards) для создания шаблонов сложных графиков, использование богатого выбора приемов форматирования графиков позволяет добиться наглядности, не достижимой традиционными средствами.
1 Общие сведения о системе компьютерной математики MathCAD
Компьютеры изначально созданы для решения задач, требующих большого объема вычислений. Однако современная компьютерная математика уже не сводится к решению задач вычислительного характера, к применению численных (приближенных) методов. Системы компьютерной математики в последние годы используют такой мощный инструмент, каксимвольные вычисления, позволяющие получить результат не в численном виде, а в виде формулы, т. е.в привычном для классической алгебры или математического анализа виде.
К настоящему времени рядом крупных зарубежных фирм создан комплекс интегрированных систем и прикладных программ для решения задач различной степени сложности в математике, естествознании и других сферах науки, техники и образования. Рост интереса к таким средствам специалистов разных сфер деятельности в настоящее время является несомненным.
Универсальные компьютерные математические системы предоставляют широкие возможности для проведения трудоемких математических расчетов, моделирования реально протекающих физических процессов и их анализа. При использовании этих систем возможен новый подход к математическому моделированию на базе использования средств символьной математики и широкого применения средств визуализации результатов вычислений.
Среди множества таких систем (Derive, MatLAB, Mathematica 2 и 3, Maple V и др.) особое место занимают системы класса MathCAD, которые по праву считаются самыми массовыми системами, системами для всех. Свое применение они находят и в изучении многих разделов математики, теоретической и экспериментальной физики и т. д. Система MathCAD позволяет выполнять такие операции как символьное дифференцирование и интегрирование (вычисление определенных и неопределенных интегралов), вычисление пределов и многое другое
Построение графика поверхности в системе MathCADможет осуществляться несколькими способами.
1.Построение поверхностей по матрице аппликат их точек.
Поскольку элементы матрицы М – индексированные переменные с целочисленными индексами, то перед созданием матрицы требуется задать индексы в виде ранжированных переменных с целочисленными значениями, а затем из них сформировать сетку значений х и у – координат для аппликат z(x,y). Значения х и у могут быть любыми действительными числами.
После указанных выше определений вводится шаблон графика (либо с помощью подменю меню Вставка, либо с помощью панели Graph). Левый верхний угол шаблона помещается в место расположения курсора. Шаблон содержит единственное место ввода – темный прямоугольник у левого нижнего угла основного шаблона. В него надо занести имя матрицы аппликат поверхности. После этого надо установить указатель мыши в стороне от графического блока и щелкнуть левой кнопкой.
Следует заметить, так как график строится на основе матрицы, содержащей только координаты высот фигуры, то истинные масштабы по осям абсцисс и ординат неизвестны и на рисунках не проставляются. Однако можно выводить порядковые номера элементов матриц в заданном направлении. Необходимо следить за тем, как сформировать векторы ХиУ, чтобы поверхность выглядела естественно и была видна нужная часть поверхности.
2Построение трехмерных графиков в MathCAD
Построение трехмерных графиков без задания матрицы.
В данном случае для построения достаточно задать функцию переменных х и у. В результате построение графиков поверхностей выполняется также просто, как и построение двухмерных графиков. Недостатками такого построения являются неопределенность в масштабировании и то, что не все поверхности второго порядка можно построить таким образом.
Форматирование трехмерных графиков.Принцип форматирования трехмерных графиков такой же, как и форматирования двухмерных графиков. Отличие состоит лишь в большем количестве параметров форматирования.
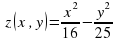
Задача 1. Построить поверхность, заданную уравнением
.
Алгоритм построения и решения:
1. Задаем уравнение поверхности.
2. С помощью Given-Find разрешаем уравнение относительно 
3. Задаем две функции двух переменных
и
.
4. Вводим ранжированные переменные.
5. Формируем сетки значений координат
и
.
6. Создаем матрицы координат у для поверхностей.
7. Строим поверхности в одной системе координат.
Возможности системы MathCAD позволяют строить пересекающиеся поверхности в одной системе координат.

Рисунок 1 – Алгоритм решениязадачи 1.

Рисунок 2 – Алгоритм решениязадачи 1.

Рисунок 3 – Иллюстрация решения задачи 1.
Можно сделать вывод, что построен параболический цилиндр.
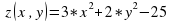
Задача 2. Построить поверхность, заданную уравнением
.
Алгоритм построения и решения:
1. Задаем уравнение поверхности.
2. С помощью Given-Find разрешаем уравнение относительно
.
3. Задаем две функции двух переменных.
4. Строим графики функций в одной системе координат.

Рисунок 4 – Алгоритм решениязадачи 2.

Рисунок 5 – Иллюстрация решения задачи 2
Можно сделать вывод, что получен конус второго порядка.
Задача 3. Построить поверхность без задания матрицы, заданную уравнением 
Алгоритм решения и построения:
1. Задаем функцию двух переменных 
2. Вводим шаблон графика.
3. В левый нижний угол шаблона заносим имя функции.

Рисунок 6 – Алгоритм решениязадачи 3.

Рисунок 7 – Иллюстрация решения задачи 3.
Можно сделать вывод, что получен гиперболический параболоид.
Задача 4. Построить поверхности
, 
Алгоритм решения и построения:
1. Задаем уравнения поверхностей:
, 
2. Строим поверхности в одной системе координат.

Рисунок 8 – Алгоритм решениязадачи 4.

Рисунок 9 – Иллюстрация решения задачи 4.
Таким образом, возможности системы MathCAD позволяют успешно выполнять построение поверхностей различных порядков с помощью различных алгоритмов.
Заключение
Одной из основных областей применения ПК являются математические и научно-технические расчеты. Сложные вычислительные задачи, возникающие при моделировании технических устройств и процессов, можно разбить на ряд элементарных: вычисление интегралов, решение уравнений, решение дифференциальных уравнений и т. д.
MathCAD – это мощная и в то же время простая универсальная среда для решения задач в различных отраслях науки и техники, финансов и экономики, физики и астрономии, математики и статистики.
MathCAD позволяет выполнять как численные, так и аналитические(символьные) вычисления, при этом точность, с которой отображается результат, задается пользователем, имеет чрезвычайно удобный математико-ориентированный интерфейс и прекрасные средства научной графики.
В пакете MathCAD представлен обширный набор инструментов для реализации графических методов решения математических задач, которые использовались нами в построениях. Графики в MathCAD являются универсальными и легкими в использовании. Пакет позволяет строить графики разных типов: графики в декартовых координатах, графики в полярных координатах, строить поверхности, строить линии уровня, картины векторных полей, трехмерные гистограммы, точечные графики. Оси графиков могут иметь линейный или логарифмический масштаб. На графики может быть нанесена координатная сетка.
Для построения графиков используются шаблоны. Их перечень содержит подменю Graphв позиции Insert главного меню. Большинство параметров графического процессора, необходимых для построения графиков, по умолчанию задается автоматически. Поэтому для начального построения того или иного вида достаточно задать тип графика. В подменю Graph содержится список из семи основных типов графиков, основные из которых применялись для решения задач построений и их иллюстраций.
Список использованных источников
Акишин, Б. А. Прикладные математические пакеты. Часть 1. MathCAD / Б. А. Акишин, Н. Х. Эркенов. – СПб. : РадиоСофт, 2009. – 132 с.
Алексеев, Е. Р. Mathcad 12 / Е. Р. Алексеев, О. В. Чеснокова. – М.: НТ Пресс, 2005. – 352 с.
Афонькина, М. Л. Проблема точности вычислений в системах компьютерной математики [Текст] / М. Л. Афонькина // Проблемы и перспективы развития информационных и коммуникационных технологий в образовании и науке: межвузовский сборник научно-методических трудов студентов, аспирантов и молодых ученых / МордГПИ. – Саранск, 2014. – 183с.
Бидасюк, Ю. М. MathsoftMathCAD 11. Самоучитель / Ю.М. Бидасюк. – СПб. : Диалектика, 2004. – 224 с.
Бутенков, С.А. Методические указания к использованию системы MathCad в практических занятиях по курсу высшей математики/ C. А Бутенков. – СПб. : Таганрог: ТРТУ, 1995. – 450 с.
Введение в компьютерную графику [Электронный ресурс]. – Режим доступа :http://pandia.ru/text/78/251/34237.php.
Визуальная среда математического моделирования MathCAD [Электронный ресурс]. – Режим доступа :http://bourabai.ru/einf/mathcad.
Визуальная среда математического моделирования в MathCAD [Электронный ресурс]. – Режим доступа :http://bourabai.ru/einf/mathcad/.
Графика в системе MathCAD [Электронный ресурс]. – Режим доступа :http://detc.ls.urfu.ru/assets/amath0021/l3.htm#l3.1.
Графики в трехмерном пространстве в MathCAD [Электронный ресурс]. – Режим доступа :http://msk.edu.ua/ivk/Informatika/Uch_posobiya/MathCad/detc/l3_3.htm.


3D постороения в MathCAD (1.38 MB)

