Задания из ОГЭ 4
Чернойван Геннадий Васильевич
01.05.2021.
Тест. Математика, 9 класс
Базовые задания ОГЭ. Будьте внимательны. Постарайтесь решить правильно больше заданий
Система оценки:
5* балльная
Список вопросов теста
Вопрос 1

Вопрос 2

Вопрос 3

Вопрос 4

Вопрос 5

Вопрос 6

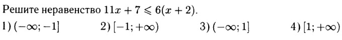
Вопрос 7

Вопрос 8

Вопрос 9

Вопрос 10

Вопрос 11

Вопрос 12

Вопрос 13

Вопрос 14

Вопрос 15

Вопрос 16
Хорда MN делит окружность в отношении 5 : 7. Найти величину вписанного
угла, опирающегося на большую из дуг.

Вопрос 17

Вопрос 18

Вопрос 19

Вопрос 20

Получите комплекты видеоуроков + онлайн версии
Пройти тест
Сохранить у себя:
Тесты по математике 9 класс
0
343
Нравится
0


