Зачетная работа по алгебре
Список вопросов теста
Вопрос 1
Укажите очередность действий приведения дробей к общему знаменателю
Варианты ответов
- Найти общий знаменатель дробей
- Для каждой из дробей найти дополнительный множитель
- Числитель дроби умножить на ее дополнительный множитель
- Записать каждую дробь с числителем и общим знаменателем
Вопрос 2
Найдите сумму дробей:

Варианты ответов
- 1
- 2
- 3
- 4
- 5
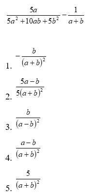
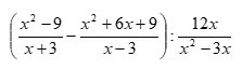
Вопрос 3
Вычислите:

Варианты ответов
- 1
- 2
- 3
- 4
- 5
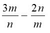
Вопрос 4
Найдите значение выражения при m = 1, n = -2. Ответ укажите в виде десятичной дроби.

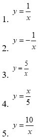
Вопрос 5
Задайте формулой обратную пропорциональность, изображенную на рисунке.


Варианты ответов
- 1
- 2
- 3
- 4
- 5
Вопрос 6
Как называется кривая, являющаяся графиком обратной пропорциональности, изображенная на рисунке?

Вопрос 7
Упростите выражение:

Варианты ответов
- 1
- 2
- 3
- 4
- 5
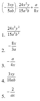
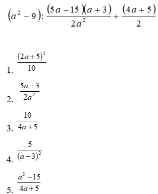
Вопрос 8
Преобразуйте выражение в рациональную дробь и найдите значение выражения при х = -10.

Вопрос 9
Преобразуйте выражение в рациональную дробь.

Варианты ответов
- 1
- 2
- 3
- 4
- 5
Вопрос 10
Упростите выражение.

Варианты ответов
- 1
- 2
- 3
- 4
- 5
Вопрос 11
Упростите выражение.

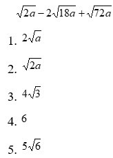
Вопрос 12
Найдите значение выражения.

Вопрос 13
Вычислите значение выражения.

Вопрос 14
Сократите дробь.

Вопрос 15

Варианты ответов
- ypxq
- pyxq
- xypq
- pxyq
Вопрос 16
Принадлежит ли графику функции у=43х2 точка В (4;688)?
Вопрос 17
Известно, что прямая пропорциональность \(у=\frac{k}{х}\) проходит через точку М (-4;2). Найдите число k.


