Вычисление объемов тел с помощью интеграла
Список вопросов теста
Вопрос 1
Укажите формулу для вычисления объёма фигуры, которая получена вращением данной кривой относительно оси Ox.
Варианты ответов
Вопрос 2
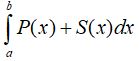
Укажите основную формулу для вычисления объёмов тел
Варианты ответов
-

P(x) - периметр основания тела.
-

P(x) - периметр основания тела, S(x) - площадь основания тела.
-

S(x) - площадь основания тела.
Вопрос 3
Укажите верхний предел интегрирования для нахождения объема прямоугольного параллелепипеда, показанного на рисунке
Вопрос 4
Укажите нижний предел интегрирования для нахождения объема прямоугольного параллелепипеда, показанного на рисунке
Вопрос 5
Сечение тела плоскостью, перпендикулярной к оси Ox и проходящей через точку с абсциссой x, является квадратом, сторона которого равна .
Найти объем этого тела. В ответ запишите только число без единиц измерения. Например, 5
Если получится дробное число, то ответ записать десятичной дробью, разделяя целую и дробную части запятой.

Вопрос 6
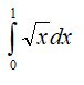
Найти объем тела, полученного вращением данной кривой вокруг оси Ox.

Варианты ответов
Вопрос 7
Укажите верхний предел интегрирования для нахождения объема прямой призмы, показанной на рисунке
Вопрос 8
Укажите нижний предел интегрирования для нахождения объема прямой призмы, показанной на рисунке
Вопрос 9
Укажите верхний предел интегрирования для нахождения объема цилиндра, показанного на рисунке
Вопрос 10
Укажите нижний предел интегрирования для нахождения объема цилиндра, показанного на рисунке












