Вариант ОГЭ ( алгебра- базовый уровень)
Список вопросов теста
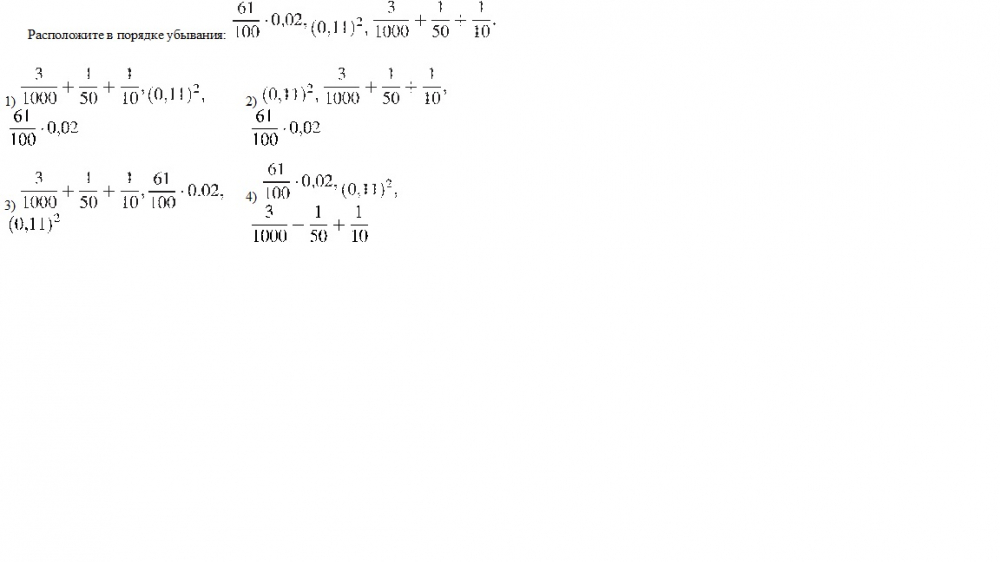
Вопрос 1

Вопрос 2
В таблице приведены нормативы по бегу на лыжах на 1 км для 10 класса.
|
|
Мальчики |
Девочки |
||||
|
Отметка |
«3» |
«4» |
«5» |
«3» |
«4» |
«5» |
|
Время ( мин. И сек) |
5:30 |
5:00 |
4:40 |
7:10 |
6:30 |
6:00 |
Какую отметку получит девочка, пробежавшая на лыжах 1 км за 6 минут 15 секунд?
В ответе укажите номер правильного варианта.
1) Неудовлетворительно
2) «4»
3) «3»
4) «5»
Вопрос 3
На координатной прямой отмечены числа а и с. Какое из следующих утверждений неверно?
В ответе укажите номер выбранного варианта.
1) а-с>0 2) -3< a+1<-2 3) a:c<0 4) -c > -1
Вопрос 4
Сравните числа
и 10.
В ответе укажите номер правильного варианта.

Вопрос 5
На диаграмме представлены некоторые из крупнейших по площади территории стран мира. Во сколько примерно раз площадь США больше площади Судана? (Ответ округлите до целых.)
Вопрос 6
Найдите корни уравнения 
Если корней несколько, запишите их в ответ без пробелов в порядке возрастания.
Вопрос 7
Пылесос, который стоил 3500 рублей, продаётся с 10%-й скидкой. При покупке этого пылесоса покупатель отдал кассиру 5000 рублей. Сколько рублей сдачи он должен получить?
Вопрос 8
На диаграмме показано распределение земель Приволжского федерального округа по категориям. Определите по диаграмме, земли какой категории преобладают.
1) земли лесного фонда
2) земли сельскохозяйственного назначения
3) земли запаса
4) прочие
В ответе запишите номер выбранного варианта.
Вопрос 9
Коля наудачу выбирает двузначное число. Найдите вероятность того, что оно оканчивается на 3.
Вопрос 10
На рисунке изображены графики функций вида y = ax2 + bx + c. Установите соответствие между графиками функций и знаками коэффициентов a и c.
КОЭФФИЦИЕНТЫ
А) 
Б) 
В) 

В таблице под каждой буквой укажите соответствующий номер.
|
А |
Б |
В |
|
|
|
|
Вопрос 11
Даны пятнадцать чисел, первое из которых равно 6, а каждое следующее больше предыдущего на 4. Найти пятнадцатое из данных чисел.
Вопрос 12
Представьте в виде дроби выражение
и найдите его значение при
. В ответ запишите полученное число.
Вопрос 13
Полную механическую энергию тела (в джоулях) можно вычислить по формуле
где
— масса тела (в килограммах),
— его скорость (в м/с),
— высота положения центра масс тела над произвольно выбранным нулевым уровнем (в метрах), а
— ускорение свободного падения (в м/с2). Пользуясь этой формулой, найдите
(в метрах), если
а 
Вопрос 14
Решите неравенство 
1) нет решений
2)
3)
4)


