Вариант 1
Автор скрыт
13.05.2020.
Тест. Математика, Прочее
На выполнение теста дается 30 минут. Критерии: 0-4 балла - оценка 2, 5-6 баллов - оценка 3, 7-8 баллов - оценка 4, 9-10 баллов - оценка 5.
Система оценки:
Зачёт/Незачёт
Список вопросов теста
Вопрос 1
Вычислите:

Ответ запишите в виде десятичной дроби.
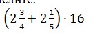
Вопрос 2
Вычислите:

Вопрос 3
Упростите:

Варианты ответов
-
x11
-
1/x11
-
1/x9
-
x9
Вопрос 4
Решить уравнение:

В ответе запишите произведение корней (в виде десятичной дроби).
Вопрос 5
Решить уравнение:

В ответе запишите сумму корней
Вопрос 6

1.
1
2.
2
3.
3
4.
4
Варианты ответов
- А
- Б
- В
- Г
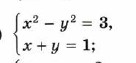
Вопрос 7
Решите систему уравнений:

Ответ запишите в виде пары чисел (х;у) (пробелы не ставите, между числами стоит точка с запятой (;))
Вопрос 8

Варианты ответов
- 1
- 2
- 3
Вопрос 9

Вопрос 10

Получите комплекты видеоуроков + онлайн версии
Пройти тест
Сохранить у себя:
Тесты по математике Прочее
0
100
Нравится
0


