Умножение одночлена на многочлен
Рыжкова Любовь Анатольевна
06.02.2022.
Тест. Алгебра, 7 класс
Умножение одночлена на многочленУмножение одночлена на многочленУмножение одночлена на многочлен
Система оценки:
5 балльная
Список вопросов теста
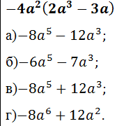
Вопрос 1

Варианты ответов
- а
- б
- в
- г
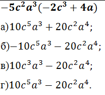
Вопрос 2

Варианты ответов
- а
- б
- в
- г
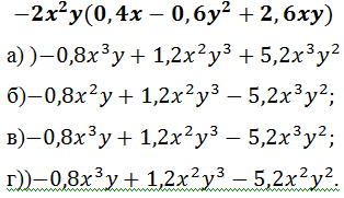
Вопрос 3

Варианты ответов
- а
- б
- в
- г
Вопрос 4

Варианты ответов
- а
- б
- в
- г
Вопрос 5

Варианты ответов
- а
- б
- в
- г
Получите комплекты видеоуроков + онлайн версии
Пройти тест
Сохранить у себя:
Тесты по алгебре 7 класс
0
229
Нравится
0


