Тестовый опрос по теории вероятности.
Список вопросов теста
Вопрос 1
Совокупность двух множеств - непустого множества V и множества E неупорядоченных пар различных элесентов множества V G(V, E) называется ....
Варианты ответов
- Простым графом;
- Ориентированным графом;
- Псевдографом;
- Не является графом;
Вопрос 2
Множество V - это ......
Множество E - это ....

Варианты ответов
- V - множество вершин, E - множество рёбер;
- V - множество рёбер, E - множество вершин;
Вопрос 3
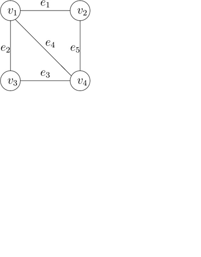
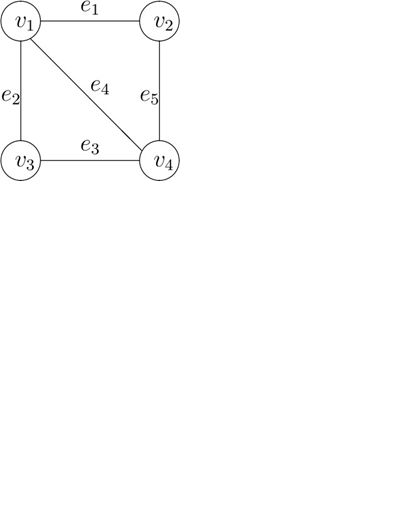
Какой граф представлен на рисунке?

Варианты ответов
- Простой;
- Ориентированный;
- Псевдограф;
Вопрос 4
Узлами является.....

Варианты ответов
- V={v1, v2, v3, v4};
- E={e1, e2, e3, e4};
- E={v1, v2, v3, v4};
- V={e1, e2, e3, e4};
Вопрос 5
Выберите правильные пары, в которых указаны - начало и конец дуги.

Варианты ответов
- e5 = v3v2;
- e5 = v4v2;
- e2 = v1v2;
- e3 = v4v3;
Вопрос 6
Выберите вершины, которые являются смежными.
Варианты ответов
- Вершины v1 и v2;
- Вершины v2 и v3;
- Вершины v1 и v4;
- Вершины v3 и v4;
Вопрос 7
Степенью или валентностью вершины v называются ......
Варианты ответов
- Количество имеющихся рёбер в графе;
- Количество рёбер, инцидентных вершине v;
- Количество внутренних рёбер;
- Количество внешних рёбер;
Вопрос 8
Если степень вершины равна нулю, то вершина является...
Варианты ответов
- Отдельной;
- Висячей;
- Изолированной;
- Не является вершиной вообще;
Вопрос 9
Висячей - называется вершина у которой ....
Варианты ответов
- Степень равна нулю;
- Степень равна двум;
- Степень равна трём;
- Степень равна единице;
Вопрос 10
Графы называются изоморфными, если .....
Варианты ответов
- Между их вершинами нельзя установить взаимнооднозначное соответствие, сохраняющее смежность;
- Между их вершинами можно установить взаимнооднозначное соответствие, сохраняющее смежность;
- Между их вершинами можно установить взаимнооднозначное соответствие, не сохраняющее смежность;
- Между их вершинами можно установить любое взаимнооднозначное соответствие;
Вопрос 11
Если графы изоморфны, то они имеют ....
Варианты ответов
- Одинаковое количество вершин;
- Одинаковое количество рёбер;
- Одинаковое количество вершин и рёбер;
- Одинаковое количество вершин и рёбер и разное число вершин одной валентности;
Вопрос 12
Операцией объединеня графов является ......
Варианты ответов
- G(V,E)=G1(V1,E1)+G2(V2,E2);
- G(V,E)=G1(V1,E1)UG2(V2,E2);
- G(V,E)=G1(V1,E1)-G2(V2,E2);
- G(V,E)=G1(V1,E1)*G2(V2,E2);
Вопрос 13
Операцией соединения графов является .....
Варианты ответов
- G(V,E)=G1(V1,E1)UG2(V2,E2);
- G(V,E)=G1(V1,E1)*G2(V2,E2);
- G(V,E)=G1(V1,E1)-G2(V2,E2);
- G(V,E)=G1(V1,E1)+G2(V2,E2);
Вопрос 14
Выберите существующие операции над графами .....
Варианты ответов
- Объединение;
- Стягивание правильного подграфа в вершину;
- Пересечение;
- Дополнение;
Вопрос 15
Каких способов задания графов не существует?
Варианты ответов
- Матрица смежности;
- Матрица вершин;
- Матрица инциденций;
- Матрица рёбер;
Вопрос 16
Граф, называется деревом, если ....
Варианты ответов
- Он не является связным и не имеет циклов;
- Он является связным и не имеет циклов;
- Он является связным и имеет циклы;
- Он не является связным и имеет циклы;
Вопрос 17
Граф, обладающий следующими свойствами
1) существует единственный узел, полустепень захода которого равны нулю;
2) полустепень захода всех остальных узлов равна единице;
3) каждый узел достижим из корня.
называется ........
Варианты ответов
- Ориентированным деревом;
- Простым графим;
- Изоморфным графом;
- Вообще не является графом;
Вопрос 18
Если порядок деревьев в ордереве фиксирован, то дерево занывается ....
Варианты ответов
- Неупорядоченным;
- Упорядоченным;
- Произвольным;
- Самостоятельным;
Вопрос 19
Если полудеревьев в ортграфе ровно два - левое и правое, то дерево называется .....
Варианты ответов
- Бинарным;
- Одинарным;
- Двойным;
- Упорядоченным;
Вопрос 20
Для того, чтобы связный граф G(V,E) был Эйлеровым, необходимо и достаточно, чтобы ......
Варианты ответов
- Степени его вершин были нечётны;
- Он содержал ровно две вершины нечётной степени;
- Степени его вершин были чётны;
- Он содержал ровно две вершины чётной степени;


