Тест по теме "Системы уравнений"
Бадамшина Галина Григорьевна
08.12.2023.
Тест. Алгебра, 9 класс
9 класс. Решение систем, содержащих линейные уравнения и уравнения второй степени. Подготовка к ОГЭ
Система оценки:
5 балльная
Список вопросов теста
Вопрос 1
Напишите свою фамилию и имя
Вопрос 2
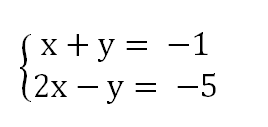
1) Укажите пару чисел, которая является решением системы уравнений

Варианты ответов
- (-3; 2)
- (2; -3)
- (-2; 1)
- (-1; 0)
Вопрос 3
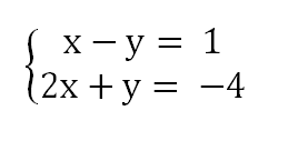
2) Укажите пару чисел, которая является решением системы уравнений:

Варианты ответов
- (1; 0)
- (-1; -2)
- (2; 1)
- (-2; -3)
Вопрос 4
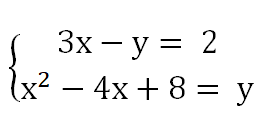
3) Решите систему уравнений:

Варианты ответов
- (6; 1), (16; 1)
- (1; 1), (16; 6)
- (1; 1), (6; 16)
- (1; 6), (1; 16)
Вопрос 5
4) Решите систему уравнений:

Варианты ответов
- (2; 3), (1; 6)
- (2; -3), (1; -4)
- (2; -3), (-1; -6)
- (-2; 3), (-1; 4)
Получите комплекты видеоуроков + онлайн версии
Пройти тест
Сохранить у себя:
Тесты по алгебре 9 класс
0
550
Нравится
0


