Тест по теме "Понятие интеграла"
Иванова Анжела Владимировна
12.09.2023.
Тест. Математика, Прочее
Предназначен для студентов СПО при изучении раздела "Первообразная и интеграл"
Система оценки:
5** балльная
Список вопросов теста
Вопрос 1
1. Функция F(x) называется первообразной функции f(x), если выполняется условие ...
Варианты ответов
- f'(x)=F(x)
- f(x)=F(x)
- F'(x)=f(x)
- F(x)=0
Вопрос 2
2. Операция нахождения первообразной называется ...
Варианты ответов
- интегрированием
- дифференцированием
- логарифмированием
- сложением
Вопрос 3
3. Неопределенный интеграл – это …
Варианты ответов
- совокупность всех производных функции f(x).
- совокупность всех первообразных F функции f(x), определенных на некотором промежутке.
- совокупность некоторых первообразных F функции f(x), значение которых не определено
- одна конкретная первообразная для f(x)
Вопрос 4
4. Что означает процедура интегрирования?
Варианты ответов
- операция нахождения интеграла
- преобразование выражения с интегралами
- преобразование подынтегральных выражений
- предел приращения функции к приращению её аргумента
Вопрос 5
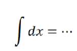
5. Вычислите неопределенный интеграл:

Варианты ответов
- 1
- x
- x + С
- 0
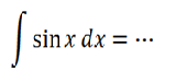
Вопрос 6
6. Вычислите неопределенный интеграл:

Варианты ответов
- cos x + C
- - cos x + C
- sin x + C
- - sin x + C
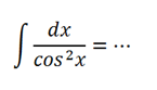
Вопрос 7
7. Вычислите неопределенный интеграл:

Варианты ответов
- tg x + C
- ctg x + C
- - ctg x + C
- - tg x + C
Вопрос 8
8. С помощью, какой формулы, в основном, решаются задания по нахождению определенного интеграла?
Варианты ответов
- формулы Римана
- формулы Коши
- используя таблицу интегралов
- формулы Ньютона - Лейбница
Вопрос 9
9. Укажите формулу для вычисления определенного интеграла:
Варианты ответов
- 1)
- 2)
- 3)
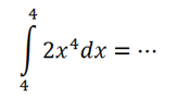
Вопрос 10
10. Вычислите определенный интеграл:

Варианты ответов
- 0
- 8
- 16
- 4
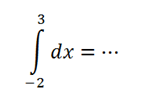
Вопрос 11
11. Вычислите определенный интеграл:

Варианты ответов
- 4
- 8
- 5
- -4
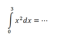
Вопрос 12
12. Вычислите определенный интеграл:

Варианты ответов
- 9
- 0
- 27
- 18
Получите комплекты видеоуроков + онлайн версии
Пройти тест
Сохранить у себя:
Тесты по математике Прочее
0
1720
Нравится
0


