Тест "Динамика. Законы сохранения"
Список вопросов теста
Вопрос 1
Впишите пропущенные слова так, чтобы получилось верное утверждение:
«При криволинейном движении скорость тела направлена _____________________ к __________________, а ускорение - _____________________________________».
Варианты ответов
- по касательной, траектории, по радиусу к центру
- по радиусу, касательной, перпендикулярно траектории
- по радиусу, к центру, по касательной к траектории
Вопрос 2
Впишите пропущенные слова так, чтобы получилось верное утверждение:
«Импульсом тела называется ___________ физическая величина, равная произведению ____________ тела на его _______________».
Варианты ответов
- векторная, массы, объем
- скалярная, скорости, плотность
- векторная, массы, скорость
Вопрос 3
Впишите пропущенные слова так, чтобы получилось верное утверждение:
«Относительность движения проявляется в том, что скорость, ___________, путь и некоторые другие характеристики движения относительны, т.е. они могут быть ____________ в разных системах ______________».
Варианты ответов
- траектория, различны, отсчета
- масса, различны, тел
- объем, различны, счисления
Вопрос 4
Впишите пропущенные слова так, чтобы получилось верное утверждение:
«В гелиоцентрической системе мира за центр Вселенной принимают ___________, а в геоцентрической - ____________».
Варианты ответов
- Землю, Солнце
- Солнце, Землю
- Солнце, Луну
Вопрос 5
Впишите пропущенные слова так, чтобы получилось верное утверждение:
«При свободном падении тело движется ______________ только под действием силы ____________ с ускорением, равным _____ м/с2».
Варианты ответов
- равномерно, тяжести, 9,8
- равноускоренно, упругости, 10
- равноускоренно, тяжести, 9,8
Вопрос 6
Впишите пропущенные слова так, чтобы получилось верное утверждение:
«Ускорение свободного падения на полюсе Земли ____________, чем на экваторе, т.к. радиус полярный _________________ радиуса экваториального».
Варианты ответов
- меньше, больше
- больше, меньше
- больше, больше
Вопрос 7
Впишите пропущенные слова так, чтобы получилась формулировка закона:
«____________ сумма импульсов тел, составляющих ____________ систему, ______________ с течением времени при любых движениях и взаимодействиях этих тел».
Варианты ответов
- векторная, замкнутую, остается неизменной
- скалярная, замкнутую, изменяется
- векторная, замкнутую, изменяется равномерно
Вопрос 8
Впишите пропущенные слова так, чтобы получилась формулировка закона:
«Силы, с которыми тела действуют друг на друга, ____________ по модулю и ______________ по направлению».
Варианты ответов
- равны, одинаковы
- равны, противоположны
- противоположны, равны
Вопрос 9
Впишите пропущенные слова так, чтобы получилась формулировка закона:
«Ускорение тела ___________ пропорционально ______________ сил, действующих на тело, и ____________ пропорционально его _____________».
Варианты ответов
- обратно, равнодействующей, прямо, массе
- прямо, разности, обратно, массе
- прямо, равнодействующей, обратно, массе
- обратно, разности, прямо, массе
Вопрос 10
Впишите пропущенные слова так, чтобы получилась формулировка закона:
«Два любых тела притягиваются друг к другу с силой, _____________ пропорциональной массе каждого из них и ____________ пропорциональной квадрату _________________ между ними».
Варианты ответов
- прямо, обратно, расстояния
- обратно, прямо, расстояния
- прямо, обратно, радиуса
- обратно, прямо, радиуса
Вопрос 11
Впишите пропущенные слова так, чтобы получилась формулировка закона:
«Существуют такие системы отсчета, относительно которых тела сохраняют свою _____________ неизменной, если на них ____________ другие тела или действие других тел __________________________.
Варианты ответов
- скорость, действуют, складывается
- скорость, не действуют, компенсируется
- скорость, действуют, отсутствует
Вопрос 12
Впишите пропущенные слова так, чтобы получилась формулировка закона:
«Механическая энергия замкнутой _____________ тел остается ________________, если между телами действуют только силы тяготения и силы __________________ и отсутствуют силы трения».
Варианты ответов
- системы, неизменной, упругости
- пары, неизменной, тяжести
- системы, большой, тяжести
Вопрос 13
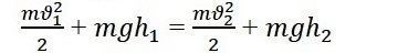
Установите соответствие между формулами законов и их названиями
1.

2.

3.

4.

5.

Варианты ответов
- третий закон Ньютона
- второй закон Ньютона
- закон сохранения импульса
- закон сохранения энергии
- закон всемирного тяготения
Вопрос 14
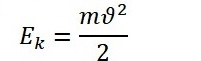
Установите соответствие между формулами и их названиями
1.

2.

3.

4.

5.

Варианты ответов
- центростремительное ускорение
- потенциальная энергия тела, поднятого над землей
- скорость искусственного спутника Земли
- импульс тела
- кинетическая энергия тела


