Теорема Виета
Автор скрыт
13.04.2020.
Тест. Алгебра, 8 класс
Тестирование предназначено для проверки ваших теоретических и практических знаний по данной теме
Система оценки:
5 балльная
Список вопросов теста
Вопрос 1
Продолжите предложение. Сумма корней приведенного квадратного уравнения равна ... ?
Варианты ответов
- второму коэффициенту, взятому с противоположным знаком
- свободному члену, взятому с противоположным знаком
- второму коэффициенту
- свободному члену
Вопрос 2
Продолжите предложение. Произведение корней приведенного квадратного уравнения равно ... ?
Варианты ответов
- второму коэффициенту, взятому с противоположным знаком
- свободному члену, взятому с противоположным знаком
- второму коэффициенту
- свободному члену
Вопрос 3
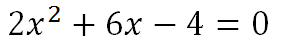
Определите, чему равна сумма и произведение корней уравнения :
(на первом месте должно стоять число, равное сумме корней; на втором - произведению)
Варианты ответов
- 10; 4
- -10; 4
- 4; 10
- -4; 10
Вопрос 4
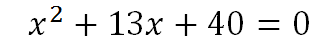
Являются ли числа 5 и 8 корнями уравнения
Варианты ответов
- Да
- Нет
- Определить нельзя
Вопрос 5
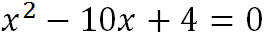
Определите, чему равна сумма и произведение корней уравнения :
(на первом месте должно стоять число, равное сумме корней; на втором - произведению)
Варианты ответов
- -6; -4
- 6; 4
- -3; -2
- 3; 2
Получите комплекты видеоуроков + онлайн версии
Пройти тест
Сохранить у себя:
Тесты по алгебре 8 класс
0
130
Нравится
0


