Техническая механика тема "Изгиб"
Чарковская Татьяна Ивановна
15.05.2024.
Тест. Прочее, Прочее
Тестовое задание для текущего контороля по дисциплине "Техническая механика"
Система оценки:
5*** балльная
Список вопросов теста
Вопрос 1
Вид нагружения бруса, при котором в его поперечных сечениях возникает только один внутренний силовой фактор - изгибающий момент Ми.
Варианты ответов
- чистый изгиб
- поперечный изгиб
- продольный изгиб
Вопрос 2
Внутренние силовые факторы, возникающие в сечении балки при поперечном изгибе:
Варианты ответов
- продольная сила N и изгибающий момент Ми
- поперечная сила Q и изгибающий момент Ми
- крутящий момент Мк и изгибающий момент Ми
Вопрос 3
Поперечная сила в сечении численно равна:
Варианты ответов
- алгебраической сумме внешних сил, действующих на всю балку
- алгебраической сумме моментов внешних сил, действующих на оставленную часть балки
- алгебраической сумме внешних сил, действующих на оставленную часть балки
Вопрос 4
Изгибающий момент в сечении численно равен:
Варианты ответов
- алгебраической сумме моментов внешних сил, действующих на всю балку
- алгебраической сумме моментов внешних сил, действующих на оставленную часть балки
- алгебраической сумме внешних сил, действующих на оставленную часть балки
Вопрос 5
Изгибающий момент в точке С определяется по формуле:
Варианты ответов
- МИС = F-М
- МИС = F×АС + М
- МИС = – F АС - М
- МИС = F×АС - М
Вопрос 6
Напряжение, возникающее в поперечных сечениях балки при чистом изгибе:
Варианты ответов
- нормальное
- касательное
- нормальное и касательное
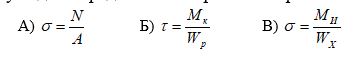
Вопрос 7
Формула для определения напряжения при изгибе:
Варианты ответов
- А
- Б
- В
Вопрос 8
Геометрической характеристикой прочности сечения при изгибе является:
Варианты ответов
- площадь сечения
- полярный момент сопротивления
- осевой момент сопротивления
Вопрос 9
Условие прочности при изгибе:
Варианты ответов
- А
- Б
- В
Вопрос 10
Определить величину поперечной силы в сечении I-I
Варианты ответов
- 39кН
- 15кН
- 27 кН
- 42кН
Получите комплекты видеоуроков + онлайн версии
Пройти тест
Сохранить у себя:
Тесты для учителей и школьников Прочее
0
793
Нравится
0


