Сжатие данных
Список вопросов теста
Вопрос 1
Каким свойством должны обладать данные для того, чтобы сообщение можно было сжать?
Варианты ответов
- непротиворечивость
- минимальность
- избыточность
- понятность
- достаточный объём
Вопрос 2
Отметьте все причины, по которым иногда требуется сжимать файлы с помощью программ-архиваторов
Варианты ответов
- файлы занимают много места на диске
- файлы часто используются
- необходимо защитить данные от просмотра
- файлы надо передать через Интернет
Вопрос 3
Как называется алгоритм, в котором кодируются цепочки одинаковых символов по принципу «символ-количество»?
Варианты ответов
- LZW
- RLE
- алгоритм Хаффмана
Вопрос 4
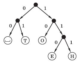
Определите кодовое слово для буквы Е
Вопрос 5
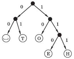
Используя приведённое кодовое дерево, расшифруйте сообщение 1100111110
Вопрос 6
Заданы частоты для всех букв, встречающихся в сообщении:
А - 70, Т - 80, Н - 90, Е - 90, О - 150
Определите длину самого короткого кодового слова в коде Хаффмана.
Вопрос 7
Как называются искажения изображения, звука, видео и т. д., вызываемые сжатием с потерями?
Варианты ответов
- дефекты
- артефакты
- пруфы
- кодеки
- фризы
Вопрос 8
Как называется код, в котором ни одно кодовое слово не является началом другого кодового слова?
Варианты ответов
- идентичный
- неповторимый
- префиксный
- байтовый
Вопрос 9
Выберите алгоритмы сжатия данных с потерями
Варианты ответов
- MP3
- GIF
- MPEG4
- TIFF
Вопрос 10
Какие данные хорошо сжимаются?
Варианты ответов
- тексты, в которых повторяются одинаковые символы и слова
- случайные числа
- рисунки, имеющие большие области одного цвета
- исполняемые программы
- несжатый звук или видео


