Степень числа. ОГЭ
Хромова Ирина Юрьевна
12.04.2020.
Тест. Алгебра, 9 класс
Данный тест состоит из 14 заданий, два из которых, оцениваются в 2 балла и рассчитан на 40 минут.
Система оценки:
5* балльная
Список вопросов теста
Вопрос 1
Варианты ответов
- 17
- -15
- 15
-
\(^{16^{\frac{3}{4}}}\)
-
- \(^{-16^{\frac{3}{4}}}\)
Вопрос 2
Варианты ответов
- -0,2
- 0,2
- 5
- -5
- 0,5
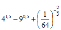
Вопрос 3
Варианты ответов
- 2,5
- 1,75
- 1,25
- 2,25
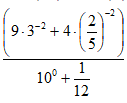
Вопрос 4
Варианты ответов
-
\(\frac{2}{3}\)
-
\(2\frac{3}{4}\)
-
\(1\frac{5}{9}\)
-
\(2\frac{4}{9}\)
Вопрос 5
Варианты ответов
-
\(\frac{3}{8}\)
-
\(23\frac{2}{3}\)
- 27
- 21
Вопрос 6
Варианты ответов
-
\(-3\frac{26}{27}\)
- -7
-
\(4\frac{1}{27}\)
-
\(-4\frac{1}{3}\)
Вопрос 7
Варианты ответов
- 2
- 4
- 240
- 24
- 2,4
Вопрос 8
Варианты ответов
- 77
- 49
-
\(\frac{16}{9}\)
-
\(\frac{11}{7}\)
- 1
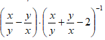
Вопрос 9
Варианты ответов
-
\(\frac{x-y}{x+y}\)
-
\(x-y\)
-
\(\frac{\left(^{x^2-^{y^2}}\right)\left(x-y\right)^2}{2\left(xy\right)^2}\)
-
\(\frac{x+y}{x-y}\)
-
\(1\)
Вопрос 10
Варианты ответов
- -4,25
- 3,25
- 4,5
- 2,5
- 3,5
Вопрос 11
Варианты ответов
- 6
- 1
-
\(\frac{18}{27}\)
-
\(\frac{82}{3}\)
-
\(\frac{2}{27}\)
Вопрос 12
Варианты ответов
- 1,25
- 1,75
- 2,125
- 2,5
- 2,25
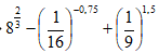
Вопрос 13
Варианты ответов
-
\(2a^{-5}b^{10}c^{10}\)
-
\(2a^{^{-15}}b^{10}c^0\)
-
\(\frac{2b^3c}{a^2}\)
-
\(\frac{b^3a}{c}\)
-
\(\frac{32}{5}a^{-5}b^{10}c^0\)
Вопрос 14
Варианты ответов
- 11
- 0,01
- 0
- 1
-
\(\frac{1}{11}\)
Получите комплекты видеоуроков + онлайн версии
Пройти тест
Сохранить у себя:
Тесты по алгебре 9 класс
0
327
Нравится
0


