СР по теме "Производная"
Иушина Анастасия Андреевна
24.10.2020.
Тест. Математика, Прочее
Самостоятельная работа по теме "Производная" для студентов второго курса ОСПО
Система оценки:
Зачёт/Незачёт
Список вопросов теста
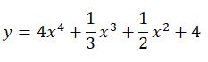
Вопрос 1
Найдите производную функции:
Получите комплекты видеоуроков + онлайн версии
Пройти тест
Сохранить у себя:
Тесты по математике Прочее
0
195
Нравится
0


