СР по теме "Предел функции в точке"
Иушина Анастасия Андреевна
18.10.2020.
Тест. Математика, Прочее
Самостоятельная работа по теме "Предел функции в точке" для студентов второго курса ОСПО
Система оценки:
Зачёт/Незачёт
Список вопросов теста
Вопрос 1
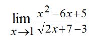
Вычислите значение предела функции:
Вопрос 2
Вычислите значение предела функции:
Вопрос 3
Вычислите значение предела функции:
Вопрос 4
Вычислите значение предела функции:
Получите комплекты видеоуроков + онлайн версии
Пройти тест
Сохранить у себя:
Тесты по математике Прочее
0
688
Нравится
0


