Способ подстановки. Способ сложения. (1 вариант). 26.04.2023
Автор скрыт
26.04.2022.
Тест. Алгебра, 7 класс
Способ подстановки. Способ сложения. (1 вариант). Необходимые вычисления записать в рабочую тетрадь
Система оценки:
5** балльная
Список вопросов теста
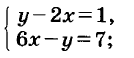
Вопрос 1
Решить систему с помощью способа подстановки:

Варианты ответов
- 1) (2;5)
- 2) (3;7)
- 3) (4:9)
- 4) (2;6)
Вопрос 2
Решить систему с помощью способа подстановки:

Варианты ответов
- 1) (-6;8)
- 2) (-2;-20)
- 3) (-20;-2)
- 4) (6;-8)
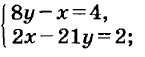
Вопрос 3

Варианты ответов
- 1) (-1;1)
- 2) (-3;-0,5)
- 3) (4;5)
- 4) (3; 0,5)
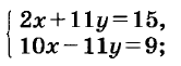
Вопрос 4
Решить систему способом сложения:

Варианты ответов
- 1) (1;2)
- 2) (3;2)
- 3) (2;1)
- 4) (2;3)
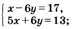
Вопрос 5
Решить систему способом сложения:

Варианты ответов
- 1) (5;-2)
- 2) (-2;5)
- 3) (3;4)
- 4) (5;7)
Получите комплекты видеоуроков + онлайн версии
Пройти тест
Сохранить у себя:
Тесты по алгебре 7 класс
0
231
Нравится
0


