СОР 3 , Четверть 2, Термодинамика 10 класс
Список вопросов теста
Вопрос 1
Термодинамический процесс протекающий при постоянном значении давления?
Варианты ответов
- Изотерма
- Изобара
- Адиабата
- Изохора
Вопрос 2
На рисунке изображены переходы газа из состояния (а) в состояние (б) и переход из состояния (а) в состояние (в).
Определите точку где температура максимальна.
Варианты ответов
- А
- Б
- В
- Везде
Вопрос 3
Чему равна внутренняя энергия двух молей одноатомного идеального газа, взятого при температуре 127оС.
Варианты ответов
- 9972 Дж
- 1200 Дж
- 3166 Дж
- 14 958 Дж
Вопрос 4
Работа совершенная газом равна нулю. Какому изо-процессу соответствует данное изменение?
Варианты ответов
- при изобарном
- при изотермическом
- при изохорном
- при адиабатном
Вопрос 5
Формула для определения работы в термодинамике
Варианты ответов
- А = IUt
- A = Fs
- A = р(V2 - V1)
- А = nkT
Вопрос 6
В какой точке диаграммы состояние газа соответсвует минимальному значению температуры?

Варианты ответов
- 1
- 2
- 3
- 4
Вопрос 7
Изобарический процесс, это процесс протекающий
Варианты ответов
- при постоянной температуре
- при постоянном давлении
- при постоянном объеме
- при постоянной теплоемкости
Вопрос 8
Основной параметр состояния идеального газа, от которого зависит внутренняя энергия –
Варианты ответов
- объем
- давление
- формы сосуда
- температура
Вопрос 9
Переведите процесс перехода из стостояния 1 в состояние 2 из диаграммы PV в диаграмму VT


Варианты ответов
- А
- Б
- В
- Нет правильного варианта
Вопрос 10
Переведите процесс перехода из стостояния 1 в состояние 2 из диаграммы PV в диограмму PT


Варианты ответов
- А
- Б
- В
- Нет правильного ответа!
Вопрос 11
Формула определения внутренней энергии кислорода (O2)
Варианты ответов
- 3/2 vRT
- 5/2 vRT
- 3 vRT
- vRT
Вопрос 12
Какому изо процессу соответствует переход из точки А в точку В?
Варианты ответов
- Изобарное нагревание
- Изобарное охлаждение
- Изотермическое сжатие
- Изохорное охлаждение
- Изохорное нагревание
Вопрос 13
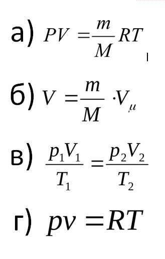
Выберите уравнение Менделеева Клапейрона

Варианты ответов
- а
- б
- в
- г
Вопрос 14
После того как распилили бревно, пила нагрелась. Каким способом изменили внутреннюю энергию пилы?
Варианты ответов
- При теплопередаче.
- При совершении работы.
- Иной способ.
Вопрос 15
Два алюминиевых бруска массами 300 и 100 г, взятых при комнатной температуре, нагрели до одинаковой температуры. У какого бруска внутренняя энергия изменилась больше?
Варианты ответов
- У обоих не изменилась.
- У обоих одинаково.
- У первого бруска.
- У второго бруска.


