Сложение и вычитание многочленов
Автор скрыт
30.03.2020.
Тест. Алгебра, 7 класс
Будьте внимательны! У Вас есть 10 минут на прохождение теста. Система оценивания - 5 балльная. Разбалловка теста - 3,4,5 баллов, в зависимости от сложности вопроса. Порядок заданий и вариантов ответов в тесте случайный. С допущенными ошибками и верными ответами можно будет ознакомиться после прохождения теста. Удачи!
Система оценки:
5 балльная
Список вопросов теста
Вопрос 1
Найдите сумму многочленов -5abc и -5abc.
Варианты ответов
-
-10abc
-
0
-
10abc
-
-25abc
Вопрос 2
Найдите разность многочленов -y2 и x2 - y2.
Варианты ответов
-
-2y2
-
-x2 + 2y2
-
x2 - 2y2
-
-x2
Вопрос 3
Преобразуйте данное выражение в многочлен стандартного вида.

Варианты ответов
- 1
- 2
- 3
- 4
Вопрос 4
Составьте разность данных многочленов и преобразуйте её в многочлен стандартного вида.

Варианты ответов
- 1
- 2
- 3
- 4
Вопрос 5
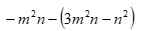
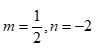
Найдите значение выражения
при
.
Варианты ответов
- 6
- 4
- 0
- -0,5
Вопрос 6
Решите уравнение.

Варианты ответов
- 1
- 2
- 3
- 4
Вопрос 7
Чему равна сумма данных многочленов?

Варианты ответов
- 1
- 2
- 3
- 4
Вопрос 8
Может ли сумма одночленов быть одночленом?
Варианты ответов
- Может
- Не может
Вопрос 9
Может ли сумма двух многочленов быть нулевым многочленом?
Варианты ответов
- Может
- Не может
Вопрос 10
Преобразуйте данное выражение в многочлен стандартного вида.

Варианты ответов
- 1
- 2
- 3
- 4
Получите комплекты видеоуроков + онлайн версии
Пройти тест
Сохранить у себя:
Тесты по алгебре 7 класс
0
3296
Нравится
0


