Скалярное произведение векторов
Список вопросов теста
Вопрос 1
На рисунке изображён куб. Определите величину угла между данными векторами.

Варианты ответов
-
300
-
450
-
600
-
900
Вопрос 2
На рисунке изображён куб. Определите величину угла между данными векторами.

Варианты ответов
-
1800
-
00
-
900
-
450
Вопрос 3
На рисунке изображён куб. Определите величину угла между данными векторами.

Варианты ответов
-
450
-
00
-
1800
-
900
Вопрос 4
Установите соответствие между взаимным расположением двух векторов и величиной угла между ними.
1.

2.

3.

Варианты ответов
Вопрос 5
Укажите формулу скалярного произведения векторов, которую нельзя применить для векторов в пространстве.
Варианты ответов
Вопрос 6
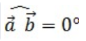
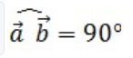
Установите соответствие между значениями скалярного произведения двух векторов и величинами угла между ними.
1.

2.

3.

Варианты ответов
Вопрос 7
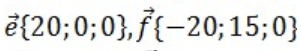
Пользуясь данными рисунка, вычислите скалярное произведение данных векторов.

Вопрос 8
Пользуясь данными рисунка, вычислите скалярное произведение данных векторов. 
Вопрос 9
Вычислите скалярное произведение векторов
и
.
Вопрос 10
Для каждой пары векторов вычислите значение косинуса угла между ними.
1.

2.

3.

Варианты ответов
-

-

-
-0,8













