Решение показательных уравнений
Роман Кристина Викторовна
27.11.2023.
Тест. Математика, Прочее
Решение показательных уравнений алгебраическим и графическим способом
Система оценки:
5* балльная
Список вопросов теста
Вопрос 1
Сравните числа m и k, если верно неравенство 2m\(<\)2k
Варианты ответов
- m=k
- m>k
- m
- нельзя определить
Вопрос 2
Какой из графиков является графиком функции y=8x?
1. 2.
3. 4.
Варианты ответов
- 1
- 2
- 3
- 4
Вопрос 3
Решите уравнение 52х-4 =25
Варианты ответов
- х=1
- х=-1
- х=0
- х=3
Вопрос 4
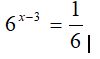
Решите уравнение
Варианты ответов
- х=4
- х=-4
- х=2
- х=-2
Вопрос 5
Найти сумму корней уравнения
Варианты ответов
- -1
- 1
- 3
- -3
Вопрос 6
Решите уравнение
Варианты ответов
- х=-1
- х=1
- х=0
- х=2
Получите комплекты видеоуроков + онлайн версии
Пройти тест
Сохранить у себя:
Тесты по математике Прочее
0
232
Нравится
0


