Ряды
Список вопросов теста
Вопрос 1
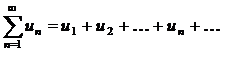
Выражение

называется ,
Вопрос 2
Установите соответствие:
1.
математический значок суммы
2.
общий член ряда
3.
частичная сумма ряда
Варианты ответов
-
\(\sum_{ }^{ }\)
-
Un
-
S2=U1+U2
Вопрос 3
Если существует предел последовательности частичных сумм, то ряд называется
Вопрос 4
Если не существует предел последовательности частичных сумм, то ряд называется
Вопрос 5
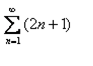
Найдите 3 член числового ряда

Варианты ответов
- 3
- 5
- 7
- 9
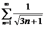
Вопрос 6
Найдите 7 член числового ряда

Варианты ответов
- 13
- 15
- 17
- 19
Вопрос 7
Если ряд сходится, то общий член сходящегося ряда стремится к
Вопрос 8
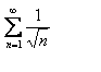
Выберите сходящийся гармонический ряд:
Варианты ответов
Вопрос 9
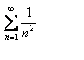
Выберите расходящийся гармонический ряд:
Варианты ответов
Вопрос 10
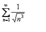
Исследовать ряд на сходимость, используя признак сравнения:

Вопрос 11
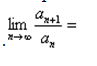
По признаку Даламбера ряд сходиться или расходиться,
если 
1.
1
2.
0
3.
\(\infty\)
4.
<1
5.
>1
Варианты ответов
- признак не дает ответа
- сходиться
- расходиться
- сходиться
- расходиться








