Расчеты по формулам_11
Список вопросов теста
Вопрос 1
Центростремительное ускорение при движении по окружности (в м / с2) вычисляется по формуле a = ω2R, где ω — угловая скорость (в с −1), R — радиус окружности (в метрах). Пользуясь этой формулой, найдите радиус R, если угловая скорость равна 4,5 с −1, а центростремительное ускорение равно 141,75 м / с2. Ответ дайте в метрах.
Вопрос 2
В фирме «Эх, прокачу!» стоимость поездки на такси (в рублях) длительностью более 5 минут рассчитывается по формуле C = 150 + 11(t − 5), где t — длительность поездки (в минутах). Пользуясь этой формулой, рассчитайте стоимость 17-минутной поездки. Ответ дайте в рублях.
Вопрос 3
В фирме «Родник» стоимость (в рублях) колодца из железобетонных колец рассчитывается по формуле C = 6000 + 4100n, где n — число колец, установленных в колодце. Пользуясь этой формулой, рассчитайте стоимость колодца из 18 колец. Ответ дайте в рублях.
Вопрос 4
Мощность постоянного тока (в ваттах) вычисляется по формуле P = I2R, где I — сила тока (в амперах), R — сопротивление (в омах). Пользуясь этой формулой, найдите сопротивление R, если мощность составляет 505,75 Вт, а сила тока равна 8,5 А. Ответ дайте в омах.
Вопрос 5
Чтобы перевести значение температуры по шкале Цельсия в шкалу Фаренгейта, пользуются формулой tF = 1,8tC + 32, где tC — температура в градусах Цельсия, tF — температура в градусах Фаренгейта. Скольким градусам по шкале Фаренгейта соответствует -75 градусов по шкале Цельсия?
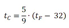
Вопрос 6
Перевести значение температуры по шкале Фаренгейта в шкалу Цельсия позволяет формула
, где tC - температура в градусах Цельсия, tF — температура в градусах Фаренгейта. Скольким градусам по шкале Цельсия соответствует -40 градусов по шкале Фаренгейта?
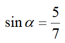
Вопрос 7
Площадь четырёхугольника можно вычислить по формуле
, где d1 и d2 — длины диагоналей четырёхугольника, α — угол между диагоналями. Пользуясь этой формулой, найдите длину диагонали d1, если d2 = 4,
, a S = 20.
Вопрос 8
Длину окружности L можно вычислить по формуле L = 2pR, где R – радиус окружности (в метрах). Пользуясь этой формулой, найдите радиус окружности, если её дина равна 84 м. (Считать p = 3).


