Работа и мощность электрического тока
Список вопросов теста
Вопрос 1
Один ватт-час равен
Варианты ответов
- 60 Дж
- 3600 Дж
- 6 кДж
- 3600 кДж
Вопрос 2
При неизменном напряжении на концах проводника сила тока уменьшилась. Мощность электрического тока
Варианты ответов
- не изменилась
- уменьшилась
- увеличилась
- могла как увеличиться, так и уменьшиться
Вопрос 3
При прохождении электрического тока по проводнику температура проводника
Варианты ответов
- увеличивается
- уменьшается
- не изменяется
- может как увеличиваться, так и уменьшаться
Вопрос 4
Напряжение на электроплитке равно 220 В, сила тока равна 4 А. Мощность этой электроплитки равна
Варианты ответов
- 55 Вт
- 220 Вт
- 440 Вт
- 880 Вт
Вопрос 5
При прохождении тока силой 0,5 А по проводнику сопротивлением 40 Ом за 3 мин в проводнике выделяется количество теплоты
Варианты ответов
- 20 Дж
- 1800 Дж
- 120 Дж
- 3600 Дж
Вопрос 6
Напряжение на участке цепи 20 В, а сопротивление участка 2 Ом. Чему равна мощность тока?
Варианты ответов
- 40 Вт
- 200 Вт
- 800 Вт
- 1600 Вт
Вопрос 7
Работа электрического тока на участке цепи равна
Варианты ответов
- произведению квадрата силы тока, напряжения и времени
- произведению силы тока и напряжения
- произведению силы тока , напряжения и времени
- произведению силы тока и напряжения, деленному на время
Вопрос 8
Как называется прибор для измерения работы электрического тока?
Варианты ответов
- Счетчик электроэнергии
- Вольтметр
- Ваттметр
- Амперметр
Вопрос 9
Как называется прибор для измерения мощности электрического тока?
Варианты ответов
- Вольтметр
- Счетчик электрической энергии
- Ваттметр
- Ампервольтметр
Вопрос 10
Как изменится количество теплоты, выделяемое проводником с током, если силу тока в проводнике увеличить в 2 раза?
Варианты ответов
- Увеличится в 4 раза
- Уменьшится в 2 раза
- Увеличится в 2 раза
- Уменьшится в 4 раза
Вопрос 11
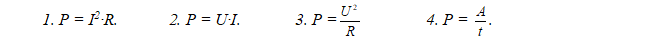
Какую формулу удобнее использовать для вычисления мощности тока на участке цепи, на котором проводники соединены последовательно?
Варианты ответов
- 1
- 2
- 3
- 4


