Простейшие задачи в координатах В2
Список вопросов теста
Вопрос 1
Закончите утверждение: "Каждая координата середины отрезка равна ... ".
Варианты ответов
- сумме соответствующих координат его концов
- полусумме соответствующих координат его концов
- разности соответствующих координат его концов
- сумме квадратов соответствующих координат его концов
Вопрос 2
Точка M - середина отрезка AB. Вычислите координаты точки В , если А(1;0;-2) и M(4;2;-1). Ответ укажите по образцу (-3;5,1;7). Не используйте пробел.
Вопрос 3
Закончите утверждение: "Длина вектора равна ... ".
Варианты ответов
- корню квадратному из суммы квадратов его координат
- сумме квадратов его координат
- корню квадратному из разности квадратов его координат
- разности квадратов его координат
Вопрос 4
Определите координаты середины отрезка AB, если А(4;-5;2), B(2;1;-2). Ответ укажите по образцу (-8;1,1;6). Не используйте пробел.
Вопрос 5
Определите длину вектора
, если его координаты равны {0;12;-5}. В ответе укажите только число.
Варианты ответов
- 13
- 169
- 14
Вопрос 6
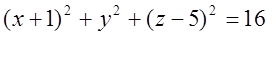
Найдите координаты центра (С) и радиус сферы, заданной уравнением:

Варианты ответов
- С(0;1;5)
- С(1;0;-5)
- С(-1;0;5)
- r=4
- r=16
- r=8
Вопрос 7
Найдите расстояние между точками А(-2;1;3) и B(4;9;3). В ответе укажите только число.
Вопрос 8
Вычислите длину вектора, началом которого является точка A(-1;0;2), а концом - точка B(1;-2;3).
Вопрос 9
Укажите формулу вычисления расстояния между точками
и
.
Варианты ответов
Вопрос 10
Верное ли утверждение, что длина вектора a{x; y; z} вычисляется по формуле

Варианты ответов
- нет
- да
- не уверен
Вопрос 11
Как будет выглядеть уравнение сферы с центром в точке М(2;-1;0) радиусом равным 2 см.
Варианты ответов
-
(x-2)2 +(y+1)2 +z2 =4
-
(x+2)2 +(y-1)2 +z2=4
-
(x-2)2 -(y+1)2 -z2=4





