«Производная. Правила дифференцирования»
Гляк Галина Васильевна
20.01.2020.
Тест. Алгебра, 11 класс
Тест состоит из двенадцати заданий. Десять заданий с выбором ответа. На выполнение теста отводится 20 минут
Система оценки:
100 балльная
Список вопросов теста
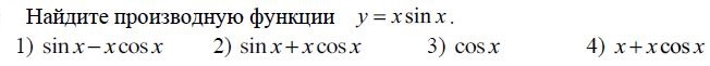
Вопрос 1

Варианты ответов
- 1
- 2
- 3
- 4
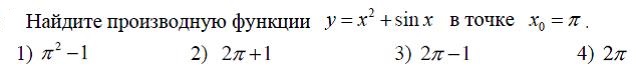
Вопрос 2

Варианты ответов
- 1
- 2
- 3
- 4
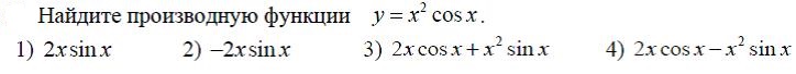
Вопрос 3

Варианты ответов
- 1
- 2
- 3
- 4
Вопрос 4

Варианты ответов
- 1
- 2
- 3
- 4
Вопрос 5

Варианты ответов
- 1
- 2
- 3
- 4
Вопрос 6

Варианты ответов
- 1
- 2
- 3
- 4
Вопрос 7

Варианты ответов
- 1
- 2
- 3
- 4
Вопрос 8

Варианты ответов
- 1
- 2
- 3
- 4
Вопрос 9

Варианты ответов
- 1
- 2
- 3
- 4
Вопрос 10

Варианты ответов
- 1
- 2
- 3
- 4
Вопрос 11

Вопрос 12

Получите комплекты видеоуроков + онлайн версии
Пройти тест
Сохранить у себя:
Тесты по алгебре 11 класс
0
236
Нравится
0


