Преобразование рациональных выражений
Купешева Светлана Михайловна
11.04.2020.
Тест. Математика, 9 класс
Будьте внимательны! У Вас есть 15 минут на прохождение теста. Система оценивания - 5 балльная.
С допущенными ошибками и верными ответами можно будет ознакомиться после прохождения теста. Удачи!
Система оценки:
5* балльная
Список вопросов теста
Вопрос 1
Выполните сложение рациональных дробей:
Варианты ответов
- с/2а
- 3с/15а
- 3с/5а
- с/а
Вопрос 2
Выполнить умножение:

Варианты ответов
- 5ху^2/12ab^2
- 10xby/24ab
- 2xy/3ab^3
- bxy^2/a^2b^3
Вопрос 3
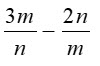
Найдите значение выражения при m = 1, n = 2. Ответ укажите в виде десятичной дроби.

Вопрос 4
Найдите значение произведения, если a = 2, b = 1.

Вопрос 5
Упростите выражение:
Найдите значение выражения при а=2, b=-1,c=5
Получите комплекты видеоуроков + онлайн версии
Пройти тест
Сохранить у себя:
Тесты по математике 9 класс
0
539
Нравится
0


