Предел функции 2 курс
Список вопросов теста
Вопрос 1
Впишите вместо многоточия правильный ответ: запись вида
x→a читается как х…………к a.
Вопрос 2
Впишите вместо многоточия правильный ответ: величина x→0 называется …
Вопрос 3
Впишите вместо многоточия правильный ответ: величина x→\(\infty\) называется …
Вопрос 4
Закончите фразу: если при вычислении предела получили одно из выражений \(\frac{0}{\infty},\ \frac{\infty}{0},\ \frac{0}{0},\ \frac{\infty}{\infty},\ \infty^0,\ 0^0,\ 0^{\infty}\) , то говорят, что это …
Вопрос 5
Закончите фразу: если при вычислении предела получили выражение \(\frac{а}{0}\) , то этот предел равен …
(ответ занести словом)
Вопрос 6
В теории пределов для устранения неопределенности \(\frac{0}{0}\) , которая возникает из – за присутствия дроби с многочленами, необходимо …
Варианты ответов
- Разделить числитель и знаменатель на наивысшую степень переменной
- Подставить предельное значение переменной в выражение под знаком предела
- Домножить числитель и знаменатель дроби на сопряженное (числителю или знаменателю) выражение
- Разложить числитель и знаменатель на множители
Вопрос 7
В теории пределов для устранения неопределенности \(\frac{\infty}{\infty}\) , которая возникает из – за присутствия дроби с многочленами, необходимо …
Варианты ответов
- Разделить числитель и знаменатель на наивысшую степень переменной
- Подставить предельное значение переменной в выражение под знаком предела
- Домножить числитель и знаменатель дроби на сопряженное (числителю или знаменателю) выражение
- Разложить числитель и знаменатель на множители
Вопрос 8
В теории пределов чтобы вычислить предел, необходимо …
Варианты ответов
- Разделить числитель и знаменатель на наивысшую степень переменной
- Подставить предельное значение переменной в выражение под знаком предела
- Домножить числитель и знаменатель дроби на сопряженное (числителю или знаменателю) выражение
- Разложить числитель и знаменатель на множители
Вопрос 9
Предел вида называется...
Вопрос 10
Предел вида называется...
Вопрос 11
Введите числовое значение предела
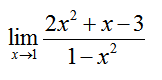
Вопрос 12
Введите числовое значение предела
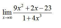
Вопрос 13
Введите числовое значение предела
Вопрос 14
Введите числовое значение предела
(если в результате вычисления получили не целое число, то ответ записать десятичной дробью)
Вопрос 15
Введите числовое значение предела
(если в результате вычисления получили не целое число, то ответ записать десятичной дробью)
Вопрос 16
Введите числовое значение предела
(если в результате вычисления получили не целое число, то ответ записать десятичной дробью)
Вопрос 17
Введите приближенное значение предела
(два знака после запятой)
Вопрос 18
Введите числовое значение предела
Вопрос 19
Закончите фразу: если при вычислении предела получили выражение \(\frac{а}{\infty}\) , то этот предел равен …
(ответ занести числом)


