Прямоугольный треугольник
Автор скрыт
09.04.2020.
Тест. Геометрия, 7 класс
Тест на тему: "Прямоугольные треугольники", время прохождения теста 15 минут.
Система оценки:
5 балльная
Список вопросов теста
Вопрос 1
В прямоугольном треугольнике:
Варианты ответов
- катет, лежащий против угла, равного 45 градусов, вдвое меньше гипотенузы
- острые углы равна
- если катет равен половине гипотенузы, то против него лежит угол, равный половине прямого угла
- катет, лежащий против угла, равного 30 градусов, равен половине гипотенузы
Вопрос 2
Прямоугольные треугольники равны, если:
Варианты ответов
- гипотенуза и угол одного треугольника равны гипотенузе и углу другого треугольника
- два угла одного треугольника равны двум углам другого треугольника
- гипотенуза и катет одного треугольника равны гипотенузе и катету другого треугольника
- катет и угол одного треугольника равны катету и углу другого треугольника
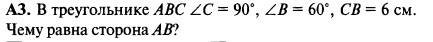
Вопрос 3

Варианты ответов
- 12 см
- 6 см
- 3 см
- 10 см
Вопрос 4

Варианты ответов
- 90 градусов
- 30 градусов
- 45 градусов
- 60 градусов
Вопрос 5

Получите комплекты видеоуроков + онлайн версии
Пройти тест
Сохранить у себя:
Тесты по геометрии 7 класс
0
345
Нравится
0


