Правила дифференцирования
Автор скрыт
17.02.2020.
Тест. Алгебра, 11 класс
Будьте внимательны! У Вас есть 10 минут на прохождение теста. Система оценивания - 5 балльная. Разбалловка теста - 3,4,5 баллов, в зависимости от сложности вопроса. Порядок заданий и вариантов ответов в тесте случайный. С допущенными ошибками и верными ответами можно будет ознакомиться после прохождения теста. Удачи!
Система оценки:
5 балльная
Список вопросов теста
Вопрос 1
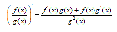
Верно ли записана формула?

Варианты ответов
- Верно
- Неверно
Вопрос 2
Верно ли записана формула?

Варианты ответов
- Верно
- Неверно
Вопрос 3
Верно ли, что постоянный множитель нельзя выносить за знак производной?
Варианты ответов
- Верно
- Неверно
Вопрос 4
Найдите производную функции f(x) = 5x2.

Варианты ответов
- 1
- 2
- 3
Вопрос 5
Найдите производную функции f(x) = 10x.
Вопрос 6
Найдите производную функции f(x) = x3 + 3x - 4.

Варианты ответов
- 1
- 2
- 3
- 4
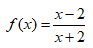
Вопрос 7
Дана функция 
Найдите f '(0).
Вопрос 8
Сопоставьте функции и их производные.
1.
f '(x) = 20x3 + 4
2.
f '(x) = 5x4 + 5
3.
f '(x) = 10x
Варианты ответов
-
f(x) = x5 + 5x - 1
-
f(x) = 5x4 + 4x + 8
-
f(x) = 5x2 + 10
Вопрос 9
Дана функция 
Найдите f '(1).
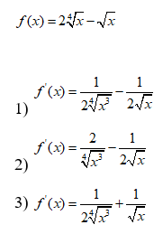
Вопрос 10
Найдите производную данной функции.

Варианты ответов
- 1
- 2
- 3
Получите комплекты видеоуроков + онлайн версии
Пройти тест
Сохранить у себя:
Тесты по алгебре 11 класс
0
5942
Нравится
0


