Повторение. Числа и вычисления
Автор скрыт
21.04.2021.
Тест. Алгебра, 11 класс
Тест рассчитан на отработку вычислительных навыков
Система оценки:
10* балльная
Список вопросов теста
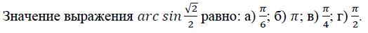
Вопрос 1

Варианты ответов
- а
- б
- в
- г
Вопрос 2

Варианты ответов
- а
- б
- в
- г
Вопрос 3

Варианты ответов
- а
- б
- в
- г
Вопрос 4

Варианты ответов
- а
- б
- в
- г
Вопрос 5

Варианты ответов
- а
- б
- в
- г
Вопрос 6

Варианты ответов
- а
- б
- в
- г
Вопрос 7

Варианты ответов
- а
- б
- в
- г
Вопрос 8

Варианты ответов
- а
- б
- в
- г
Вопрос 9

Варианты ответов
- а
- б
- в
- г
Вопрос 10

Варианты ответов
- а
- б
- в
- г
Вопрос 11

Варианты ответов
- а
- б
- в
- г
Вопрос 12

Варианты ответов
- а
- б
- в
- г
Вопрос 13

Варианты ответов
- а
- б
- в
- г
Вопрос 14

Вопрос 15

Вопрос 16

Вопрос 17

Вопрос 18

Вопрос 19

Вопрос 20

Получите комплекты видеоуроков + онлайн версии
Пройти тест
Сохранить у себя:
Тесты по алгебре 11 класс
0
277
Нравится
0


