Показательная функция
Список вопросов теста
Вопрос 1
Фыберите функции, которые являются показательными

Варианты ответов
- 1
- 2
- 3
- 4
- 5
- 6
- 7
- 8
- 9
- 10
- 11
- 12
- 13
Вопрос 2
Выберите рисунки, на которых изображен график показательной функции

Варианты ответов
- 1
- 2
- 3
- 4
- 5
- 6
Вопрос 3
Выберите верное утверждение:
1) 31,43>31.4
2) 31,43< 31.4
3) 31,43=31.4
Варианты ответов
- 1
- 2
- 3
Вопрос 4
Выберите верное утверждение:
1) 0,3162 < 0,3170
2) 0,3162 > 0,3170
3) 0,3162 = 0,3170
Варианты ответов
- 1
- 2
- 3
Вопрос 5
Выберите число, которое меньше 1

Варианты ответов
- 1
- 2
- 3
- 4
- 5
Вопрос 6
Выберите число, которое больше 1

Варианты ответов
- 1
- 2
- 3
- 4
- 5
Вопрос 7
Среди представленных чисел выберите наибольшее

Варианты ответов
- 1
- 2
- 3
- 4
- 5
- 6
Вопрос 8
Среди предложенных чисел выберите наименьшее

Варианты ответов
- 1
- 2
- 3
- 4
- 5
- 6
Вопрос 9
Среди предложенных функций выберите возрастающие:

Варианты ответов
- 1
- 2
- 3
- 4
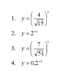
Вопрос 10
Среди предложенных функций выберите убывающие:

Варианты ответов
- 1
- 2
- 3
- 4
Вопрос 11
Как называется уравнение (неравенство) содержащее переменную в показателе степери?
Варианты ответов
- Степенное
- Показательное
- Дробно-рациональное
Вопрос 12
Найдите корень уравнение, если корней несколько в ответ запишите наибольший, при необходимость результат округлите до сотых.
\(0,5^{\sqrt{2х+1}}=128\)
Вопрос 13
Найдите корень уравнение, если корней несколько в ответ запишите наибольший, при необходимость результат округлите до сотых.
\(10^{2х-15}=0,00001\)
Вопрос 14
Найдите корень уравнение, если корней несколько в ответ запишите наибольший, при необходимость результат округлите до сотых.
\(12^{х^2-12х+20}=1\)
Вопрос 15
Найдите корень уравнение, если корней несколько в ответ запишите наибольший, при необходимость результат округлите до сотых.
\(27^{\left|3х+5\right|}=81\)


