Подготовка к ОГЭ по математике
Бабченко Марина Владимировна
11.05.2021.
Тест. Математика, 9 класс
Тест содержит задания из открытого банка ОГЭ и направлен на отработку навыков решения
Система оценки:
5* балльная
Список вопросов теста
Вопрос 1

Вопрос 2

Вопрос 3

Вопрос 4

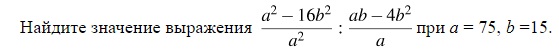
Вопрос 5
Если уравнение имеет более одного решения то записать ответы в порядке возрастания без запятых
Получите комплекты видеоуроков + онлайн версии
Пройти тест
Сохранить у себя:
Тесты по математике 9 класс
0
324
Нравится
0


